Seneste opdatering :
27/04/2026
Immunsuppressivum   Ciclosporin  
Injektion
Oral opløsning Salver Øjendråber
Stabilitet i (vandige) opløsninger Stabilitet i blandinger Faktorer der påvirker stabiliteten Kompatibilitet Administrationsvej Bibliografi pdf
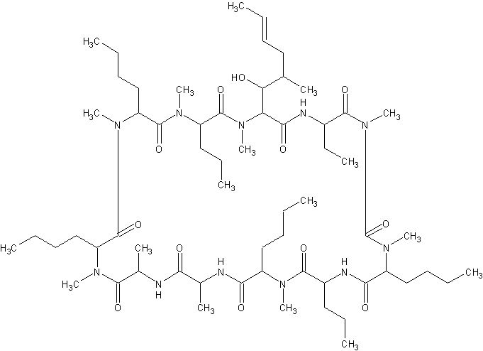
   Kemisk struktur  

Handelsnavn   Handelsnavn     

Handel navne er vejledende og hjælpestoffer sammensætning kan være forskellig afhængigt af landet og laboratorier

Cyclosporine Canada, USA
Graftin Indien
Sandimmum Argentina, Australien, Belgien, Chile, Colombia, Danmark, Finland, Forenede Arabiske Emirater, Grækenland, Iran, Irland, Island, Italien, Luxemborg, Malaysia, Marokko, Marokko, Mexico, New Zealand, Norge, Polen, Portugal, Saudi-Arabien, Schweiz, Spanien, Storbritanien, Sverige, Tunesien, Tyrkiet, Tyskland, Ungarn, Østrig
Stabilitet i (vandige) opløsninger   Injektion   Stabilitet i (vandige) opløsninger : Ciclosporin     
Beholder Opløsningsmiddel Koncentration Temperatur Konservering Varighed af stabilitet Bibliografi
Glas 0,9 % Natriumklorid 2 mg/ml 24°C Med eller uden lys
12 Time
454
Level af bevismateriale D

Glas 5 % Glukose 2 mg/ml 24°C Lys
48 Time
471
Level af bevismateriale D

Glas 5 % Glukose 2 mg/ml 24°C Med eller uden lys
24 Time
454
Level af bevismateriale D

Glas 5 % Glukose 2 mg/ml 6°C Beskyt mod lys
48 Time
471
Level af bevismateriale D

Polyolefin 0,9 % Natriumklorid 0,2 mg/ml 23-27°C Ikke nærmere angivet
14 Dag
3229
Level af bevismateriale A+

Polyolefin 0,9 % Natriumklorid 2,5 mg/ml 23-27°C Ikke nærmere angivet
14 Dag
3229
Level af bevismateriale A+

Polyolefin 5 % Glukose 0,2 mg/ml 23-27°C Ikke nærmere angivet
14 Dag
3229
Level af bevismateriale A+

Polyolefin 5 % Glukose 2,5 mg/ml 23-27°C Ikke nærmere angivet
14 Dag
3229
Level af bevismateriale A+

Ethylen vinyl acetat 0,9 % Natriumklorid 0,2 mg/ml 25°C Ikke nærmere angivet
7 Dag
3476
Level af bevismateriale B+

Ethylen vinyl acetat 0,9 % Natriumklorid 2,5 mg/ml 25°C Ikke nærmere angivet
14 Dag
3476
Level af bevismateriale B+

Ethylen vinyl acetat 5 % Glukose 0,2 mg/ml 25°C Ikke nærmere angivet
7 Dag
3476
Level af bevismateriale B+

Ethylen vinyl acetat 5 % Glukose 2,5 mg/ml 25°C Ikke nærmere angivet
14 Dag
3476
Level af bevismateriale B+


  Mentions Légales