Τελευταία ενημέρωση :
27/01/2026
Ανοσοκατασταλτικό   Ciclosporin  
Ενέσιμο
Αλοιφές Οφθαλμικές σταγόνες Πόσιμο διάλυμα
Σταθερότητα διαλυμάτων Σταθερότητα σε μίγματα Παράγοντας που επηρεάζει τη σταθερότητα Συμβατότητες Τρόπος χορήγησης Βιβλιογραφία pdf
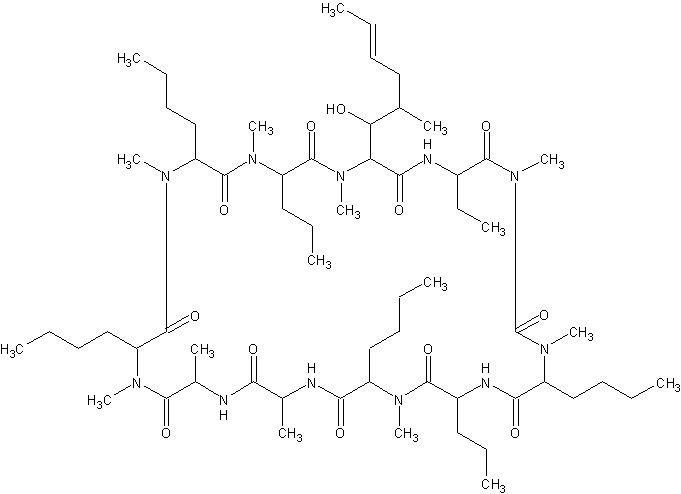
   χημική δομή  

Εμπορική ονομασία   Εμπορική ονομασία     

Οι εμπορικές ονομασίες είναι ενδεικτικές και η σύνθεση των εκδόχων μπορεί να διαφέρει ανάλογα με τη χώρα και τα εργαστήρια

Cyclosporine Η.Π.Α., Καναδάς
Graftin Ινδία
Sandimmum Yhdistyneet arabiemiirikunnat, Αργεντινή, Αυστραλία, Αυστρία, Βέλγιο, Γερμανία, Δανία, Ελβετία, Ελλάδα, Ιράν, Ιρλανδία, Ισλανδία, Ισπανία, Ιταλία, Κολομβία, Λουξεμβούργο, Μαλαισία, Μαρόκο, Μεγάλη Βρετανία, Μεξικό, νέα Ζηλανδία, Νορβηγία, Ουγγαρία, Περού, Πολωνία, Πορτογαλία, Σαουδική Αραβία, Σουηδία, Τουρκία, Τυνησία, Φινλανδία, Χιλή
Σταθερότητα διαλυμάτων   Ενέσιμο   Σταθερότητα διαλυμάτων : Ciclosporin     
Υποδοχέας Διαλυτικό Συγκέντρωση Θερμοκρασία Αποθήκευση Διάρκεια σταθερότητας Βιβλιογραφία
Ύαλος Χλωριούχο νάτριο 0,9% 2 mg/ml 24°C Με ή χωρίς φως
12 Ώρα
454
Επίπεδο των αποδεικτικών στοιχείων D

Ύαλος Γλυκόζη 5% 2 mg/ml 24°C Φως
48 Ώρα
471
Επίπεδο των αποδεικτικών στοιχείων D

Ύαλος Γλυκόζη 5% 2 mg/ml 24°C Με ή χωρίς φως
24 Ώρα
454
Επίπεδο των αποδεικτικών στοιχείων D

Ύαλος Γλυκόζη 5% 2 mg/ml 6°C Προστατεύετε από το φως
48 Ώρα
471
Επίπεδο των αποδεικτικών στοιχείων D

Πολυολεφίνη Χλωριούχο νάτριο 0,9% 0,2 mg/ml 23-27°C Απροσδιόριστο
14 Ημέρα
3229
Επίπεδο των αποδεικτικών στοιχείων A+

Πολυολεφίνη Χλωριούχο νάτριο 0,9% 2,5 mg/ml 23-27°C Απροσδιόριστο
14 Ημέρα
3229
Επίπεδο των αποδεικτικών στοιχείων A+

Πολυολεφίνη Γλυκόζη 5% 0,2 mg/ml 23-27°C Απροσδιόριστο
14 Ημέρα
3229
Επίπεδο των αποδεικτικών στοιχείων A+

Πολυολεφίνη Γλυκόζη 5% 2,5 mg/ml 23-27°C Απροσδιόριστο
14 Ημέρα
3229
Επίπεδο των αποδεικτικών στοιχείων A+

Συμπολυμερές του αιθυλενίου και του οξικ Χλωριούχο νάτριο 0,9% 0,2 mg/ml 25°C Απροσδιόριστο
7 Ημέρα
3476
Επίπεδο των αποδεικτικών στοιχείων B+

Συμπολυμερές του αιθυλενίου και του οξικ Χλωριούχο νάτριο 0,9% 2,5 mg/ml 25°C Απροσδιόριστο
14 Ημέρα
3476
Επίπεδο των αποδεικτικών στοιχείων B+

Συμπολυμερές του αιθυλενίου και του οξικ Γλυκόζη 5% 0,2 mg/ml 25°C Απροσδιόριστο
7 Ημέρα
3476
Επίπεδο των αποδεικτικών στοιχείων B+

Συμπολυμερές του αιθυλενίου και του οξικ Γλυκόζη 5% 2,5 mg/ml 25°C Απροσδιόριστο
14 Ημέρα
3476
Επίπεδο των αποδεικτικών στοιχείων B+


  Mentions Légales