viimane versioon :
27/01/2026
immunosupressant   Ciclosporin  
Süsteravim
salv Silmatilgad suukaudne lahus
Stabiilsus lahustes Stabiilsust mõjutavad tegurid stabiilsust mõjutavad faktorid Sobimatus Manustamis viis Viited pdf
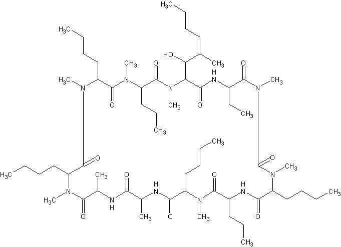
   keemiline struktuur  

Kaubanduslikud nimed erinevates maades   Kaubanduslikud nimed erinevates maades     

Preparaatide nimed on näitlikud ja abianete sisaldus võib erineda sõltuvalt riigist ja laborist

Cyclosporine Ameerika ühendriigid, Kanada
Graftin India
Sandimmum Araabia Ühendemiraadid, Argentiina, Austraalia, Austria, Belgia, Hispaania, Iirimaa, Iraan, Island, Itaalia, Kolumbia, Kreeka, Luksemburg, Malaisia, Maroko, Maroko, Mehhiko, Norra, Poola, Portugal, Rootsi, Saksamaa, Saudi Araabia, Soome, Suurbritannia, Sveits, Taani, Tšiili, Tuneesia, Türgi, Ungari, uus-Meremaa
Stabiilsus lahustes   Süsteravim   Stabiilsus lahustes : Ciclosporin     
konteiner lahusti kontsentratsioon temperatuur ladustamine Stabiilsuse kestus Viited
klaas naatriumkloriid 0.9% 2 mg/ml 24°C valgusega või ilma valguseta
12 Tund
454
Tõenduspõhisuse tase D

klaas glükoos 5% 2 mg/ml 24°C valgus
48 Tund
471
Tõenduspõhisuse tase D

klaas glükoos 5% 2 mg/ml 24°C valgusega või ilma valguseta
24 Tund
454
Tõenduspõhisuse tase D

klaas glükoos 5% 2 mg/ml 6°C kaitsta valguse eest
48 Tund
471
Tõenduspõhisuse tase D

polüolefiin naatriumkloriid 0.9% 0,2 mg/ml 23-27°C pole täpsustatud
14 päev
3229
Tõenduspõhisuse tase A+

polüolefiin naatriumkloriid 0.9% 2,5 mg/ml 23-27°C pole täpsustatud
14 päev
3229
Tõenduspõhisuse tase A+

polüolefiin glükoos 5% 0,2 mg/ml 23-27°C pole täpsustatud
14 päev
3229
Tõenduspõhisuse tase A+

polüolefiin glükoos 5% 2,5 mg/ml 23-27°C pole täpsustatud
14 päev
3229
Tõenduspõhisuse tase A+

etüleen vinüülatsetaat naatriumkloriid 0.9% 0,2 mg/ml 25°C pole täpsustatud
7 päev
3476
Tõenduspõhisuse tase B+

etüleen vinüülatsetaat naatriumkloriid 0.9% 2,5 mg/ml 25°C pole täpsustatud
14 päev
3476
Tõenduspõhisuse tase B+

etüleen vinüülatsetaat glükoos 5% 0,2 mg/ml 25°C pole täpsustatud
7 päev
3476
Tõenduspõhisuse tase B+

etüleen vinüülatsetaat glükoos 5% 2,5 mg/ml 25°C pole täpsustatud
14 päev
3476
Tõenduspõhisuse tase B+


  Mentions Légales