Последнее обновление :
27/01/2026
Иммуннодепрессант   Ciclosporin  
Инъекция
Глазные капли Мази Раствор для перорального приёма
Стабильность растворов Стабильность смесей Факторы, которые влияют на стабильность Совместимость Способы введения Библиография pdf
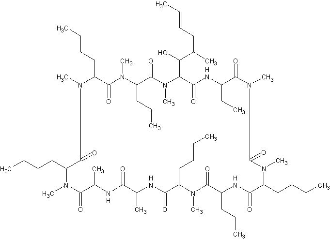
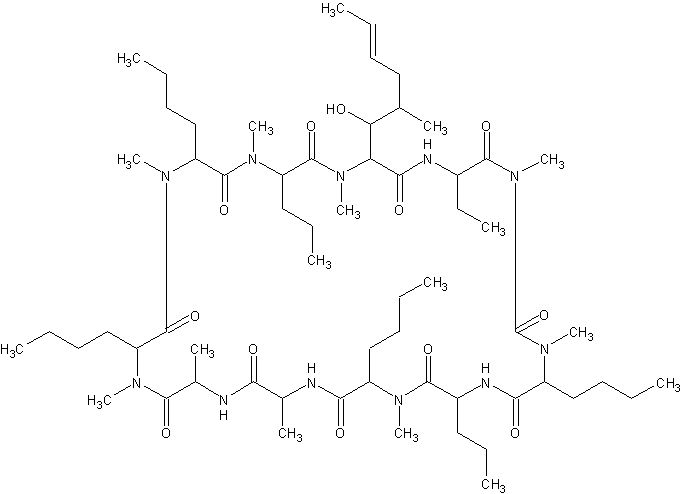
   Химическая структура  

Товарное название   Товарное название     

Trade names are indicative and excipients composition can be different depending on the country and manufacturers

Cyclosporine Канада, Соединённые Штаты Америки
Graftin Индия
Sandimmum Австралия, Австрия, Аргентина, Бельгия, Великобритания, Венгрия, Германия, Греция, Дания, Иран, Ирландия, Исландия, Испания, Италия, Колумбия, Люксембург, Малайзия, Марокко, Мексика, новая Зеландия, Норвегия, Объединенные Арабские Эмираты, Перу, Польша, Португалия, Саудовская Аравия, Тунис, Турция, Финляндия, чили, Швейцария, Швеция
Стабильность растворов   Инъекция   Стабильность растворов : Ciclosporin     
Упаковка Растворитель Концентрация Температура Хранение Продолжительность стабильности Ссылки
Стекло Натрия хлорид 0,9% 2 mg/ml 24°C И на свету и в темноте
12 Час
454
Уровень доказательности D

Стекло Глюкоза 5% 2 mg/ml 24°C Свет
48 Час
471
Уровень доказательности D

Стекло Глюкоза 5% 2 mg/ml 24°C И на свету и в темноте
24 Час
454
Уровень доказательности D

Стекло Глюкоза 5% 2 mg/ml 6°C Защищён от света
48 Час
471
Уровень доказательности D

Полиолефин Натрия хлорид 0,9% 0,2 mg/ml 23-27°C Не указано
14 День
3229
Уровень доказательности A +

Полиолефин Натрия хлорид 0,9% 2,5 mg/ml 23-27°C Не указано
14 День
3229
Уровень доказательности A +

Полиолефин Глюкоза 5% 0,2 mg/ml 23-27°C Не указано
14 День
3229
Уровень доказательности A +

Полиолефин Глюкоза 5% 2,5 mg/ml 23-27°C Не указано
14 День
3229
Уровень доказательности A +

Этилен-винилацетат Натрия хлорид 0,9% 0,2 mg/ml 25°C Не указано
7 День
3476
Уровень доказательности B +

Этилен-винилацетат Натрия хлорид 0,9% 2,5 mg/ml 25°C Не указано
14 День
3476
Уровень доказательности B +

Этилен-винилацетат Глюкоза 5% 0,2 mg/ml 25°C Не указано
7 День
3476
Уровень доказательности B +

Этилен-винилацетат Глюкоза 5% 2,5 mg/ml 25°C Не указано
14 День
3476
Уровень доказательности B +


  Mentions Légales