Pēdējā atjaunošana :
27/01/2026
Imūnsupresors   Ciclosporin  
Injekcija
Acu pilieni Orāls šķīdums Ziedes
Šķīduma stabilitāte Maisījuma stabilitāte Stabilitāti ietekmējoši faktori Saderība Levadīšanas veids Literatūras saraksts pdf
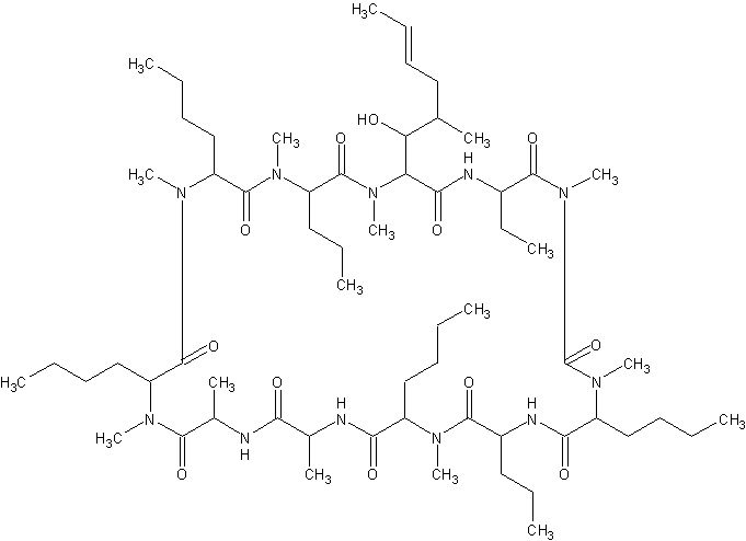
   Ķīmiskā uzbūve   

Oriģinālais nosaukums   Oriģinālais nosaukums     

Tirdzniecības nosaukumi ir apzīmējoši un palīgvielas var atšķirties dažādām valstīm un laboratorijām

Cyclosporine Amerikas Savienotās Valstis, Kanāda
Graftin Indija
Sandimmum Apvienotie Arābu Emirāti, Argentīna, Austrālija, Austrija, Beļģija, Čīle, Dānija, Grieķija, Irāna, Īrija, Islande, Itālija, Jaunzēlande, Kolumbija, Lielbritānija, Luksemburga, Malaizija, Maroka, Meksika, Norvēģija, Peru, Polija, Portugāle, Saūda Arābija, Somija, Spānija, Šveice, Tunisija, Turcija, Ungārija, Vācija, Zviedrija
Šķīduma stabilitāte   Injekcija   Šķīduma stabilitāte : Ciclosporin     
Iepakojums Šķīdinātājs Koncentrācija Temperatūra Glabāšana Stabilitātes ilgums Literatūras saraksts
Stikls Nātrija hlorīds 0.9% 2 mg/ml 24°C Ar vai bez gaismas
12 Stunda
454
Pierādījumu līmenis D

Stikls 5% glikoze 2 mg/ml 24°C Gaisma
48 Stunda
471
Pierādījumu līmenis D

Stikls 5% glikoze 2 mg/ml 24°C Ar vai bez gaismas
24 Stunda
454
Pierādījumu līmenis D

Stikls 5% glikoze 2 mg/ml 6°C Aizsargāt no gaismas
48 Stunda
471
Pierādījumu līmenis D

Poliolefīns Nātrija hlorīds 0.9% 0,2 mg/ml 23-27°C Nav specifisks
14 Diena
3229
Pierādījumu līmenis A+

Poliolefīns Nātrija hlorīds 0.9% 2,5 mg/ml 23-27°C Nav specifisks
14 Diena
3229
Pierādījumu līmenis A+

Poliolefīns 5% glikoze 0,2 mg/ml 23-27°C Nav specifisks
14 Diena
3229
Pierādījumu līmenis A+

Poliolefīns 5% glikoze 2,5 mg/ml 23-27°C Nav specifisks
14 Diena
3229
Pierādījumu līmenis A+

Etilvinilacetāts Nātrija hlorīds 0.9% 0,2 mg/ml 25°C Nav specifisks
7 Diena
3476
Pierādījumu līmenis B+

Etilvinilacetāts Nātrija hlorīds 0.9% 2,5 mg/ml 25°C Nav specifisks
14 Diena
3476
Pierādījumu līmenis B+

Etilvinilacetāts 5% glikoze 0,2 mg/ml 25°C Nav specifisks
7 Diena
3476
Pierādījumu līmenis B+

Etilvinilacetāts 5% glikoze 2,5 mg/ml 25°C Nav specifisks
14 Diena
3476
Pierādījumu līmenis B+


  Mentions Légales