Zadnji put ažurirano :
03/03/2026
imunosupresori   Ciclosporin  
injekcija
kapi za oko masti oralna otopina
Stabilizacija rješenja Stabilnost mješavine Stabilizacijski faktor Kompatibilnosti način davanja lijeka Bibliografija pdf
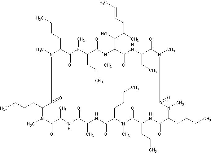
   Kemijska struktura  

Nekomercijalni   Nekomercijalni     

Zaštićeni nazivi su indikativni i sastav ekscipijensa može biti različit ovisno o državi i laboratorijima

Cyclosporine Kanada, S A D
Graftin Indija
Sandimmum Argentina, Australija, Austrija, Belgija, Čile, Danska, Finska, Grčka, Iran, Irska, Island, Italija, Kolumbija, Luksemburg, Madžarska, Malezija, Maroko, Meksiko, Njemačka, Norveška, novi Zeland, Peru, Poljska, Portugal, Saudijska Arabija, Španjolska, Švedska, Švicarska, Tunis, Turska, Ujedinjeni Arapski Emirati, Velika Britanija
Stabilizacija rješenja   injekcija   Stabilizacija rješenja : Ciclosporin     
Kontejner sredstvo za rastapanje koncentracija temperatura Konzerviranje Trajanje stabilnosti Bibliografija
čaša natrijumkorid 0,9% 2 mg/ml 24°C Sa i bez svjetlosti
12 sat
454
Razina dokaza D

čaša glukoza 5% 2 mg/ml 24°C svjetlost
48 sat
471
Razina dokaza D

čaša glukoza 5% 2 mg/ml 24°C Sa i bez svjetlosti
24 sat
454
Razina dokaza D

čaša glukoza 5% 2 mg/ml 6°C Zaštićeno od svjetlosti
48 sat
471
Razina dokaza D

poliolefin natrijumkorid 0,9% 0,2 mg/ml 23-27°C nespecifičan
14 dan
3229
Razina dokaza A+

poliolefin natrijumkorid 0,9% 2,5 mg/ml 23-27°C nespecifičan
14 dan
3229
Razina dokaza A+

poliolefin glukoza 5% 0,2 mg/ml 23-27°C nespecifičan
14 dan
3229
Razina dokaza A+

poliolefin glukoza 5% 2,5 mg/ml 23-27°C nespecifičan
14 dan
3229
Razina dokaza A+

etilvinilacetat natrijumkorid 0,9% 0,2 mg/ml 25°C nespecifičan
7 dan
3476
Razina dokaza B+

etilvinilacetat natrijumkorid 0,9% 2,5 mg/ml 25°C nespecifičan
14 dan
3476
Razina dokaza B+

etilvinilacetat glukoza 5% 0,2 mg/ml 25°C nespecifičan
7 dan
3476
Razina dokaza B+

etilvinilacetat glukoza 5% 2,5 mg/ml 25°C nespecifičan
14 dan
3476
Razina dokaza B+


  Mentions Légales