Siste oppdatering :
27/04/2026
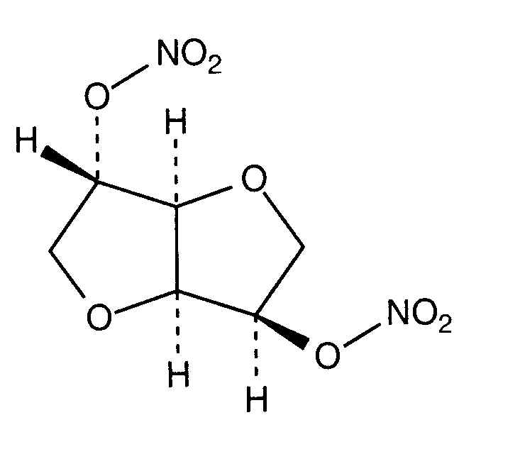
Vasodilatator   Isosorbide dinitrate  
Injeksjon
Oppløsningsstabilitet Stabilitet i blandinger Faktorer som påvirker stabiliteten Kompatibilitet Administrasjonsmåte Referanser pdf
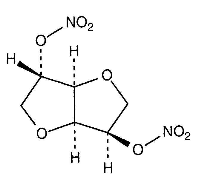
   Kjemisk struktur  

Handelsnavn   Handelsnavn     

Handelsnavn er veiledende og sammensetning av hjelpestoffer kan være forskjellig avhengig av land og produsent

Angsobide Malaysia
Cedocard Nederland
Diniket Italia
Dinit Storbritannia
Ekilbran Mexico
Isoket De forente arabiske emirater, Egypt, Irland, Luxembourg, Malaysia, Mexico, Peru, Polen, Portugal, Saudi-Arabia, Storbritannia, Sveits, Venezuela, Østerrike
Isonit Ecuador, Peru
Nitrosid Finland
Nitrosorbide Italia
Risordan Frankrike
Zanisor Mexico
Administrasjonsmåte   Administrasjonsmåte :Isosorbide dinitrate     
Voie
Intravenøs infusjon
Arteriell infusjon

  Mentions Légales