Cập nhật lần cuối :
27/04/2026
Thuốc giãn mạch   Isosorbide dinitrate  
Dạng tiêm
Tính ổn định của các dung dịch Độ ổn định khi trộn lẫn Những yếu tố ảnh hưởng đến độ ổn định Khả năng tương thích Đường dùng Tài liệu tham khảo Pdf
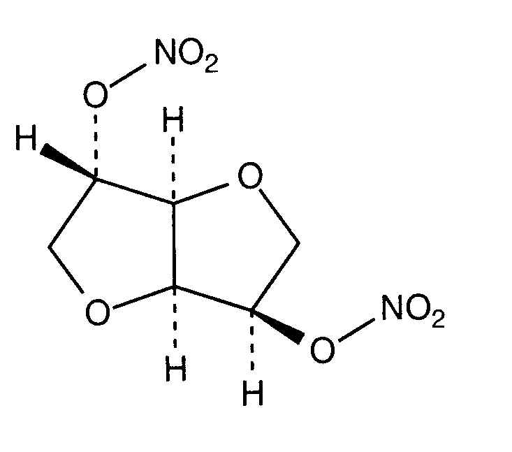
   Cấu trúc hóa học  

Tên thương mại   Tên thương mại     

Các tên thương mại được cung cấp và thành phần tá dược có thể khác nhau giữa các quốc gia và các hãng dược

Angsobide Malaysia
Cedocard Hà Lan
Diniket Ý
Dinit Anh
Ekilbran Mexico
Isoket Ả Rập, Ả Rập Saudi, Anh, Áo, Ba Lan, Bồ Đào Nha, Ireland, Luxembourg, Malaysia, Mexico, Peru, Thụy Sỹ, United Arab Emirates, Venezuela
Isonit Ecuador, Peru
Nitrosid Phần Lan
Nitrosorbide Ý
Risordan Pháp
Zanisor Mexico
Đường dùng   Đường dùng :Isosorbide dinitrate     
Đường dùng
Truyền tĩnh mạch
Tiêm trong động mạch

  Mentions Légales