Posledná aktualizácia :
27/04/2026
vazodilatans   Isosorbide dinitrate  
Injekcia
Stabilita roztokov Stabilita v zmesiach Faktory ovplyvňujúce stabilitu Kompatibility spôsob podania Odkazy na literatúru PDF
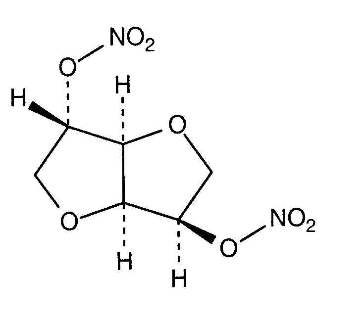
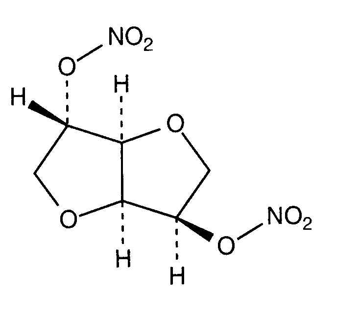
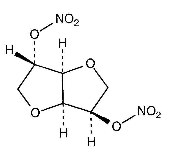
   Chemický vzorec  

Obchodný názov   Obchodný názov     

Obchodné názvy sú orientačné, a zloženie pomocných látok sa môže líšiť v závislosti od krajiny a výrobcu.

Angsobide Malajzia
Cedocard Holandsko
Diniket Taliansko
Dinit Veľká Británia
Ekilbran Mexiko
Isoket Egypt, Írsko, Luxembursko, Malajzia, Mexiko, peru, Poľsko, Portugalsko, Rakúsko, Saudská Arábia, Spojené arabské emiráty, Švajčiarsko, Veľká Británia, Venezuela
Isonit Ekvádor, peru
Nitrosid Fínsko
Nitrosorbide Taliansko
Risordan Francúzsko
Zanisor Mexiko
spôsob podania   spôsob podania :Isosorbide dinitrate     
Voie
intravenózna infúzia
intraarteriálne

  Mentions Légales