Последно актуализиране :
27/04/2026
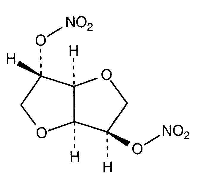
Вазодилататор   Isosorbide dinitrate  
Инжекция/Инжекционен
Стабилност на разтвори Стабилност на смеси Фактори, повлияващи стабилността Съвместимост Път на въвеждане Библиография Pdf
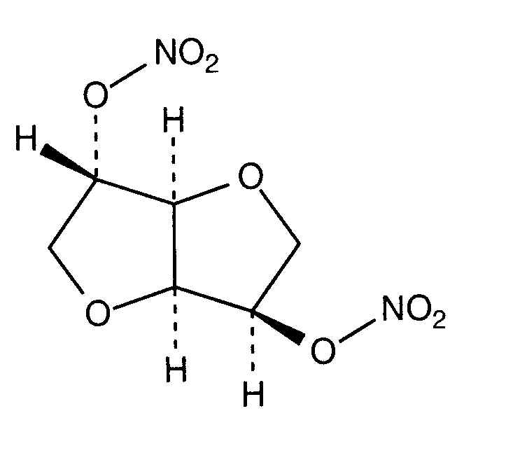
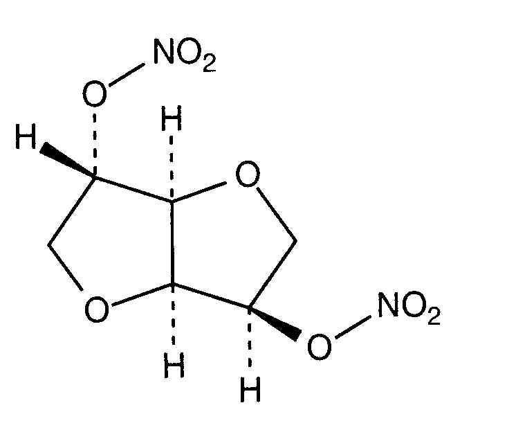
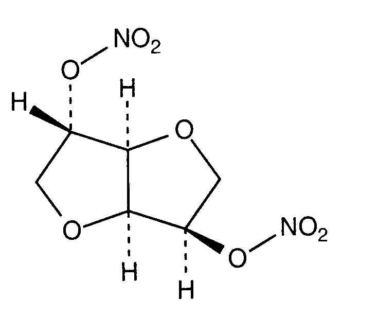
   Химична структура  

Търговско наименование   Търговско наименование     

Търговските имена са примерни и съставът на помощните вещества може да бъде различен в зависимост от държавата и лабораториите

Angsobide Малайзия
Cedocard Холандия
Diniket Италия
Dinit Великобритания
Ekilbran Мексико
Isoket Австрия, Великобритания, Венецуела, Египет, Ирландия, Люксенбург, Малайзия, Мексико, Обединени арабски емирства, Перу, Полша, Португалия, Саудитска Арабия, Швейцария
Isonit Еквадор, Перу
Nitrosid Финландия
Nitrosorbide Италия
Risordan Франция
Zanisor Мексико
Път на въвеждане   Път на въвеждане :Isosorbide dinitrate     
Voie
Интравенозна инфузия
Интраартериално

  Mentions Légales