Τελευταία ενημέρωση :
27/04/2026
Θρομβολυτικό   Isosorbide dinitrate  
Ενέσιμο
Σταθερότητα διαλυμάτων Σταθερότητα σε μίγματα Παράγοντας που επηρεάζει τη σταθερότητα Συμβατότητες Τρόπος χορήγησης Βιβλιογραφία pdf
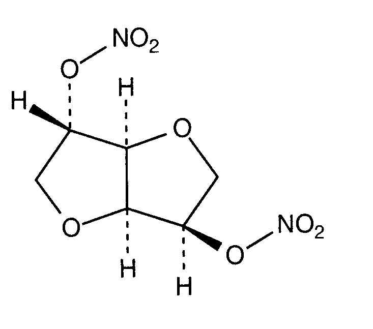
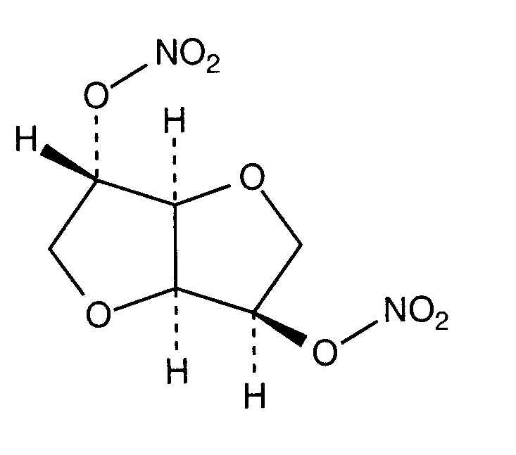
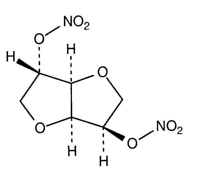
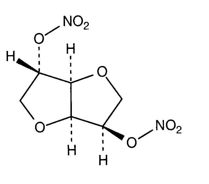
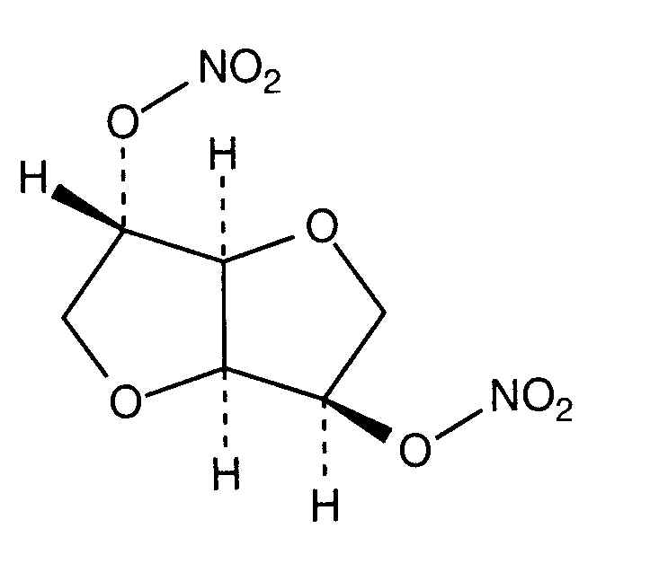
   χημική δομή  

Εμπορική ονομασία   Εμπορική ονομασία     

Οι εμπορικές ονομασίες είναι ενδεικτικές και η σύνθεση των εκδόχων μπορεί να διαφέρει ανάλογα με τη χώρα και τα εργαστήρια

Angsobide Μαλαισία
Cedocard Ολλανδία
Diniket Ιταλία
Dinit Μεγάλη Βρετανία
Ekilbran Μεξικό
Isoket Yhdistyneet arabiemiirikunnat, Αίγυπτος, Αυστρία, Βενεζουέλα, Ελβετία, Ιρλανδία, Λουξεμβούργο, Μαλαισία, Μεγάλη Βρετανία, Μεξικό, Περού, Πολωνία, Πορτογαλία, Σαουδική Αραβία
Isonit Εκουαδόρ, Περού
Nitrosid Φινλανδία
Nitrosorbide Ιταλία
Risordan Γαλλία
Zanisor Μεξικό
Τρόπος χορήγησης   Τρόπος χορήγησης :Isosorbide dinitrate     
Voie
Ενδοφλέβια έκχυση
Ενδοαρτηριακή

  Mentions Légales