Pēdējā atjaunošana :
27/04/2026
Vazodiletators   Isosorbide dinitrate  
Injekcija
Šķīduma stabilitāte Maisījuma stabilitāte Stabilitāti ietekmējoši faktori Saderība Levadīšanas veids Literatūras saraksts pdf
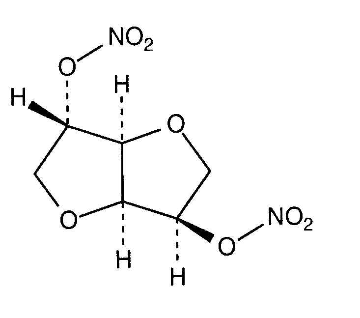
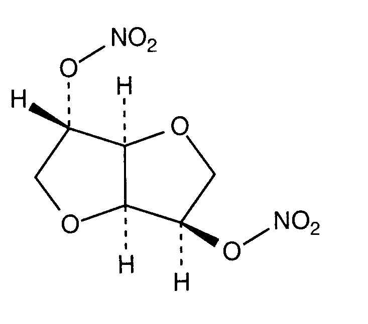
   Ķīmiskā uzbūve   

Oriģinālais nosaukums   Oriģinālais nosaukums     

Tirdzniecības nosaukumi ir apzīmējoši un palīgvielas var atšķirties dažādām valstīm un laboratorijām

Angsobide Malaizija
Cedocard Holande
Diniket Itālija
Dinit Lielbritānija
Ekilbran Meksika
Isoket Apvienotie Arābu Emirāti, Austrija, Ēģipte, Īrija, Lielbritānija, Luksemburga, Malaizija, Meksika, Peru, Polija, Portugāle, Saūda Arābija, Šveice, Venecuēla
Isonit Ekvadora, Peru
Nitrosid Somija
Nitrosorbide Itālija
Risordan Francija
Zanisor Meksika
Levadīšanas veids   Levadīšanas veids :Isosorbide dinitrate     
Voie
Intravenoza infūzija
Intraarteriāli

  Mentions Légales