Last update :
31/03/2026
Vasodilator   Isosorbide dinitrate  
injection
Stability in solutions Stability of mixtures Factors which affect stability Compatibility Route of administration References pdf
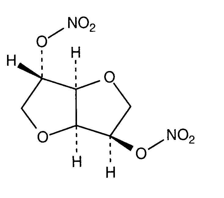
   Chemical structure  

Tradename   Tradename     

Trade names are indicative and excipients composition can be different depending on the country and manufacturers

Angsobide Malaysia
Cedocard Netherlands
Diniket Italy
Dinit Great Britain
Ekilbran Mexico
Isoket Austria, Egypt, Great Britain, Ireland, Luxembourg, Malaysia, Mexico, Peru, Poland, Portugal, Saudi Arabia, Switzerland, United Arab Emirates, Venezuela
Isonit Ecuador, Peru
Nitrosid Finland
Nitrosorbide Italy
Risordan France
Zanisor Mexico
References   injection   References : Isosorbide dinitrate  
Type Publication
190 Journal Lee MG.
Sorption of four drugs to polyvinyl chloride and polybutadiene intravenous administration sets.
Am J Hosp Pharm 1986 ; 43: 1945-1950.
350 Journal Martens HJ, De Goede PN, Van Loenen AC.
Sorption of various drugs in polyvinyl chloride, glass, and polyethylene-lined infusion containers.
Am J Hosp Pharm 1990 ; 47: 369-373.
1067 Journal Zeidler C, Dettmering D, Schrammel W, Spieteller M.
Compatibility of various drugs used in intensive care medicine in polyethylene, PVC and glass infusion containers.
EJHP 1999 ; 5: 106-110.
1102 Journal Cossum PA, Roberts MS.
Availability of isosorbide dinitrate, diazepam and chlormethiazole, from i.v. delivery systems.
Eur J Clin Pharmacol 1981 ; 19: 181-185.
1147 Journal De Muynck C, Colardyn F, Remon JP.
Influence of intravenous administration set composition on the sorption of isosorbide dinitrate.
J Pharm Pharmacol 1991 ; 43: 601-604.
1148 Journal De Muynck C, Remon JP, Colardyn F.
The sorption of isosorbide dinitrate to intravenous delivery systems.
J Pharm Pharmacol 1988 ; 40: 601-604.
1161 Journal Allwood MC.
Sorption of parenteral nitrates during administration with a syringe pump and extension set.
Int J Pharm 1987 ; 39: 183-188.
1232 Journal Beatson C, Taylor A.
A physical compatibility study of furosemide & flucloxacillin injections.
Br J Pharm Pract 1987 ; 9: 223-226, 236.
1332 Journal Lee MG, Fenton-May V.
Absorption of isosorbide dinitrate by PVC infusion bags and administration sets.
J Clin Hosp Pharm 1981 ; 6: 209-211.
1468 Journal Sautou V, Chopineau J, Gremeau I, Chevrier R, Bruneaux F.
Compatibility with medical plastics and stability of continuously and simultaneously infused isosorbide dinitrate and heparin.
Int J Pharm 1994 ; 107: 111-119.
2141 Journal Barinian N, Chanteux H, Viaene E, Servais H, Tulkens PM.
Stability and compatibility study of cefepime in comparaison with ceftazidime for potential administration by continuous infusion under conditions pertinent to ambulatory treatment of cystic fibrosis patients and to administration in intensive care units.
J Antimicrob Chemother 2003 ; 51: 651-658.
2231 Journal de Jongh R, Hens R, Basma V, mouton JW, Tulkens PM, Carryn S.
Continuous versus intermittent infusion of temocillin, a directed spectrum penicillin for intensive care patients with nosocomial pneumonia: stability, compatibility, population pharmacokinetic studies and breakpoint selection.
J Antimicrob Chemother 2008 ; 61, 2: 382-388.
3385 Journal Raverdi V, Ampe E, Hecq JD, Tulkens PM.
Stability and compatibility of vancomycin for administration by continuous infusion.
J Antimicrob Chemother 2013 ; 68: 1179-1182.
4374 Journal Lardinois B, Dimitriou A, Delcave C, Soumoy L, Jamart J, Bihin B, Hecq J-H, Galanti L.M.
Long-term Physicochemical Stability of Concentrated Solutions of Isosorbide Dinitrate in Polypropylene Syringes for Administration in the Intensive Care Unit.
Int J Pharm Compound 2020 ;24,1:64-68
4698 Journal Ayari G, D'Huart E, Vigneron J, Demoré B.
Y-site compatibility of intravenous medications commonly used in intensive care units : laboratory tests on 75 mixtures involving nine main drugs.
Pharmaceutical Technology in Hospital Pharmacy 2022 ; 7(1): 20220002

  Mentions Légales