Siste oppdatering :
27/04/2026
Infostab
Lister
Sammendrag
Søk etter kompatibilitet
Y-side kompatibilitetstabell
Referanser
Forskerteamet
valistab
plakat
Tilkoblinger
sponsorer
Forfatter
Instruksjon
Nyhetsbrev
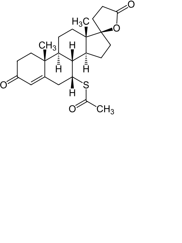
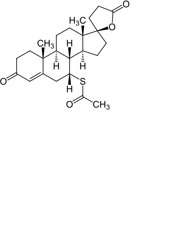
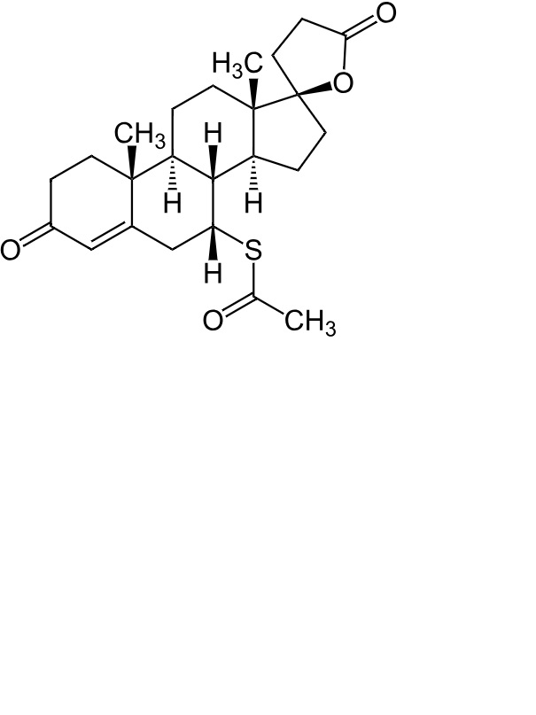
Spironolactone
Kjemisk struktur
Referanser : Spironolactone
Type
publikasjon
4921
Journal
Schettino C, Marianni B, Polonini H.
Compatibility of 17-a-estradiol, Caffeine, Clobetasol Propionate, Finasteride, Melatonin, Metronidazole, Spironolactone, Tretinoin, and Triamcinolone in Trichosol, a Natural Vehicle for Hair Solutions.
Int J Pharm Compound 2025 ;29,1:64-76
Mentions Légales