Seneste opdatering :
27/04/2026
Infostab
Lister
Bversigter
Søg efter kompatibilitet
Y-site kompatibilitetstabel
Bibliografi
forskerhold
valistab
Poster
Links
sponsorer
Forfatter
Brugervejledning
Nyhedsbrev
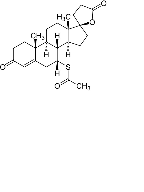
Spironolactone
Kemisk struktur
Bibliografi : Spironolactone
Type
offentliggørelse
4921
Journal
Schettino C, Marianni B, Polonini H.
Compatibility of 17-a-estradiol, Caffeine, Clobetasol Propionate, Finasteride, Melatonin, Metronidazole, Spironolactone, Tretinoin, and Triamcinolone in Trichosol, a Natural Vehicle for Hair Solutions.
Int J Pharm Compound 2025 ;29,1:64-76
Mentions Légales