Ostatnia aktualizacja :
27/04/2026
Infostab
Listy
Listy
Szukaj zgodności
Tabela kompatybilności Y-site
Bibliografia
Zespoły badawcze
valistab
plakat
Połączenia
sponsorzy
Autor
Przewodnik użytkoywnika
Biuletynu
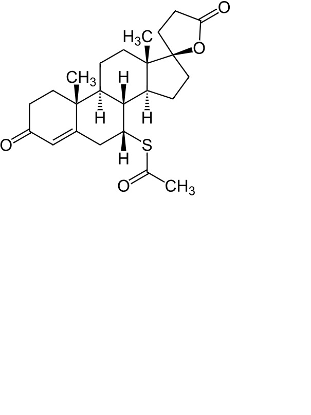
Spironolactone
Struktura chemiczna
Bibliografia : Spironolactone
typ
publikacja
4921
Czasopismo
Schettino C, Marianni B, Polonini H.
Compatibility of 17-a-estradiol, Caffeine, Clobetasol Propionate, Finasteride, Melatonin, Metronidazole, Spironolactone, Tretinoin, and Triamcinolone in Trichosol, a Natural Vehicle for Hair Solutions.
Int J Pharm Compound 2025 ;29,1:64-76
Mentions Légales