Última actualización :
27/04/2026
Infostab
Lista de la molécula
Listas recapitulativas
Búsqueda de compatibilidades
Tabla de compatibilidad en Y
Bibliografía
Los equipos de investigación
valistab
póster
Vínculos
patrocinadores
Autores
Manual de instruciones
Boletín de noticias
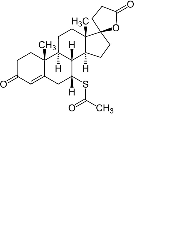
Spironolactone
Estructura química
Bibliografía : Spironolactone
Tipo
Publicación
4921
periódico
Schettino C, Marianni B, Polonini H.
Compatibility of 17-a-estradiol, Caffeine, Clobetasol Propionate, Finasteride, Melatonin, Metronidazole, Spironolactone, Tretinoin, and Triamcinolone in Trichosol, a Natural Vehicle for Hair Solutions.
Int J Pharm Compound 2025 ;29,1:64-76
Mentions Légales