Senaste uppdateringen :
18/03/2026
Infostab
Förteckning över substanser
Sammanfattande listor
Sök efter kompatibilitet
Kompatibilitetstabell
Hänvisningar
forskargrupper
valistab
Posters
Anslutningar
sponsorer
Författare
Användaranvisning
Nyhetsbladet
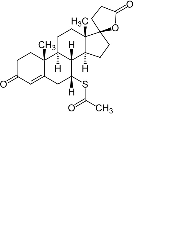
Spironolactone
Molekylstruktur
Hänvisningar : Spironolactone
Typ
Publikation
4921
tidningen
Schettino C, Marianni B, Polonini H.
Compatibility of 17-a-estradiol, Caffeine, Clobetasol Propionate, Finasteride, Melatonin, Metronidazole, Spironolactone, Tretinoin, and Triamcinolone in Trichosol, a Natural Vehicle for Hair Solutions.
Int J Pharm Compound 2025 ;29,1:64-76
Mentions Légales