Letztes “update” :
18/03/2026
Infostab
Molekülverzeichnis
Zusammenfassende Listen
Suche nach kompatibilitäten
Y-Kompatibilitätstabelle
Literaturverzeichnis
Forschungsgruppen
valistab
Poster
Links
Sponsoren
Autoren
Hinweise fûr den Benutzer
Newsletter
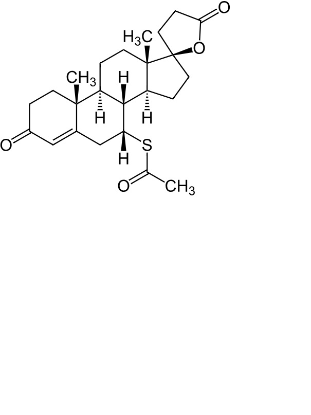
Spironolactone
Chemische Struktur
Literaturverzeichnis : Spironolactone
Typ
Veröffentlichung
4921
Zeitung
Schettino C, Marianni B, Polonini H.
Compatibility of 17-a-estradiol, Caffeine, Clobetasol Propionate, Finasteride, Melatonin, Metronidazole, Spironolactone, Tretinoin, and Triamcinolone in Trichosol, a Natural Vehicle for Hair Solutions.
Int J Pharm Compound 2025 ;29,1:64-76
Mentions Légales