Последно актуализиране :
27/04/2026
Infostab
Списък с лекарства
Съдържание
Потърсете съвместимост
Таблица за съвместимост на Y-сайта
Библиография
Изследователски екипи
valistab
Плакат
звена
спонсори
Автори
Ръководство за потребителя
Бюлетин
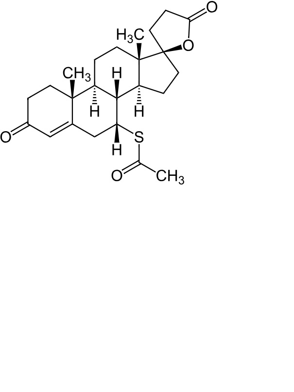
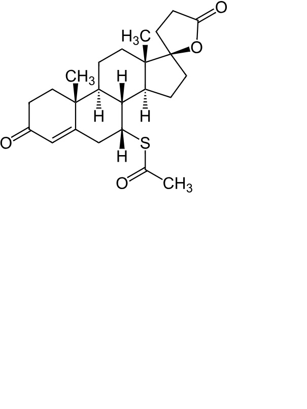
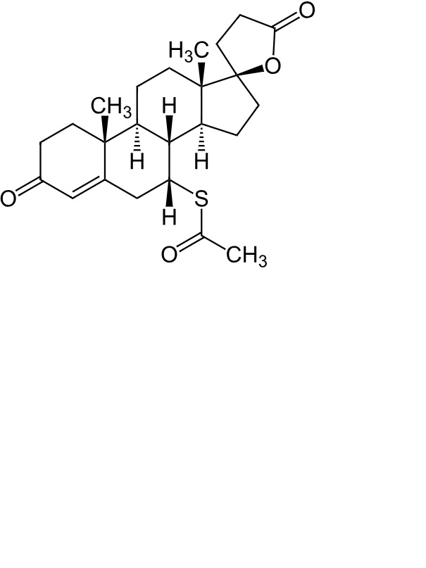
Spironolactone
Химична структура
Библиография : Spironolactone
Вид
Публикация
4921
Списание
Schettino C, Marianni B, Polonini H.
Compatibility of 17-a-estradiol, Caffeine, Clobetasol Propionate, Finasteride, Melatonin, Metronidazole, Spironolactone, Tretinoin, and Triamcinolone in Trichosol, a Natural Vehicle for Hair Solutions.
Int J Pharm Compound 2025 ;29,1:64-76
Mentions Légales