Senaste uppdateringen :
27/01/2026
Glukosnedsättande   Sitagliptine phosphate  
Oral lösning
Stabilitet av läkemedel Stabilitet i blandningar Faktorer som påverkar stabiliteten Kompatibilitet Hänvisningar pdf
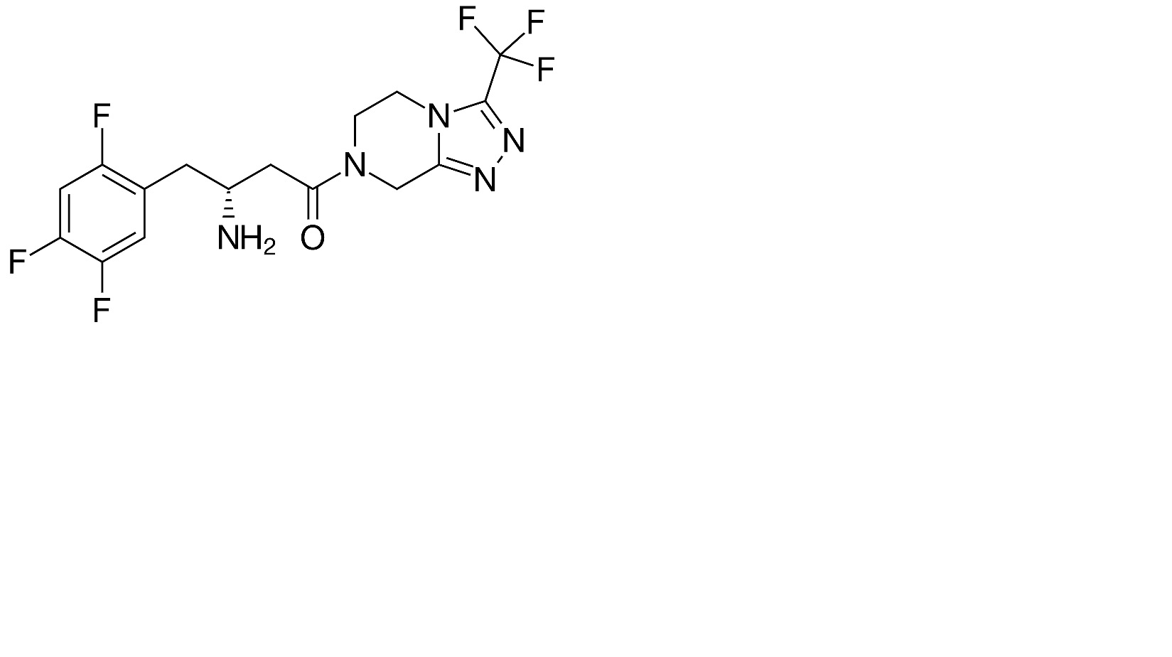
   Molekylstruktur  

Oral lösning
Stabilitet av läkemedel   Oral lösning   Stabilitet av läkemedel : Sitagliptine phosphate     
Behållare Origine Hjälpämne Temperatur Förvaring Stabilitets varaktighet Hänvisningar
Plastflaska Pulver 1 g
® = ?
Sorbitol 21,9 mL
Mannitol 2,2 g
Jordgubbssmak 625 mg
Renat vatten >> 100 mL
22-28°C Ej angiven
40 Dag
4679
Plastflaska Pulver 1 g
® = ?
Sorbitol 21,9 mL
Mannitol 2,2 g
Jordgubbssmak 625 mg
Renat vatten >> 100 mL
40°C Ej angiven
40 Dag
4679

  Mentions Légales