Zadnji put ažurirano :
27/01/2026
hipoglikemici   Sitagliptine phosphate  
oralna otopina
Stabilnost farmaceutskih pripravaka Stabilnost mješavine Stabilizacijski faktor Kompatibilnosti Bibliografija pdf
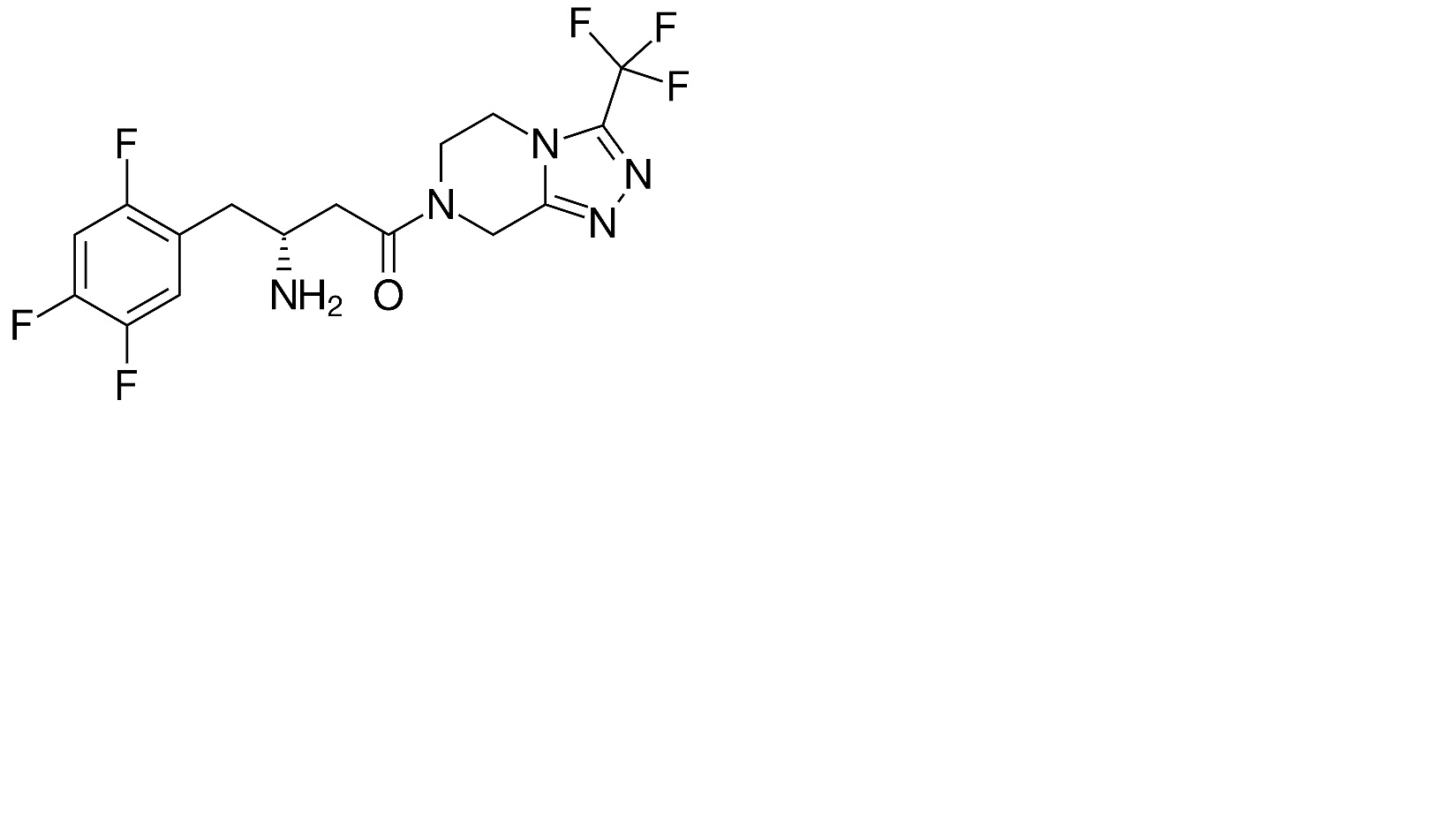
   Kemijska struktura  

oralna otopina
Stabilnost farmaceutskih pripravaka   oralna otopina     Stabilnost farmaceutskih pripravaka : Sitagliptine phosphate     
Kontejner Origine pomoćna tvar temperatura Konzerviranje Trajanje stabilnosti Bibliografija
plastična boca prašak 1 g
® = ?
Sorbitol 21,9 mL
Manitol 2,2 g
okus jagode 625 mg
pročišćena voda >> 100 mL
22-28°C nespecifičan
40 dan
4679
plastična boca prašak 1 g
® = ?
Sorbitol 21,9 mL
Manitol 2,2 g
okus jagode 625 mg
pročišćena voda >> 100 mL
40°C nespecifičan
40 dan
4679

  Mentions Légales