Última actualización :
27/01/2026
Hipoglucemiante   Sitagliptine phosphate  
Solución Oral
La estabilidad de las preparaciones farmacéuticas Estabilidad en mezcla Factores que influyen sobre la estabilidad Compatibilidades Bibliografía pdf
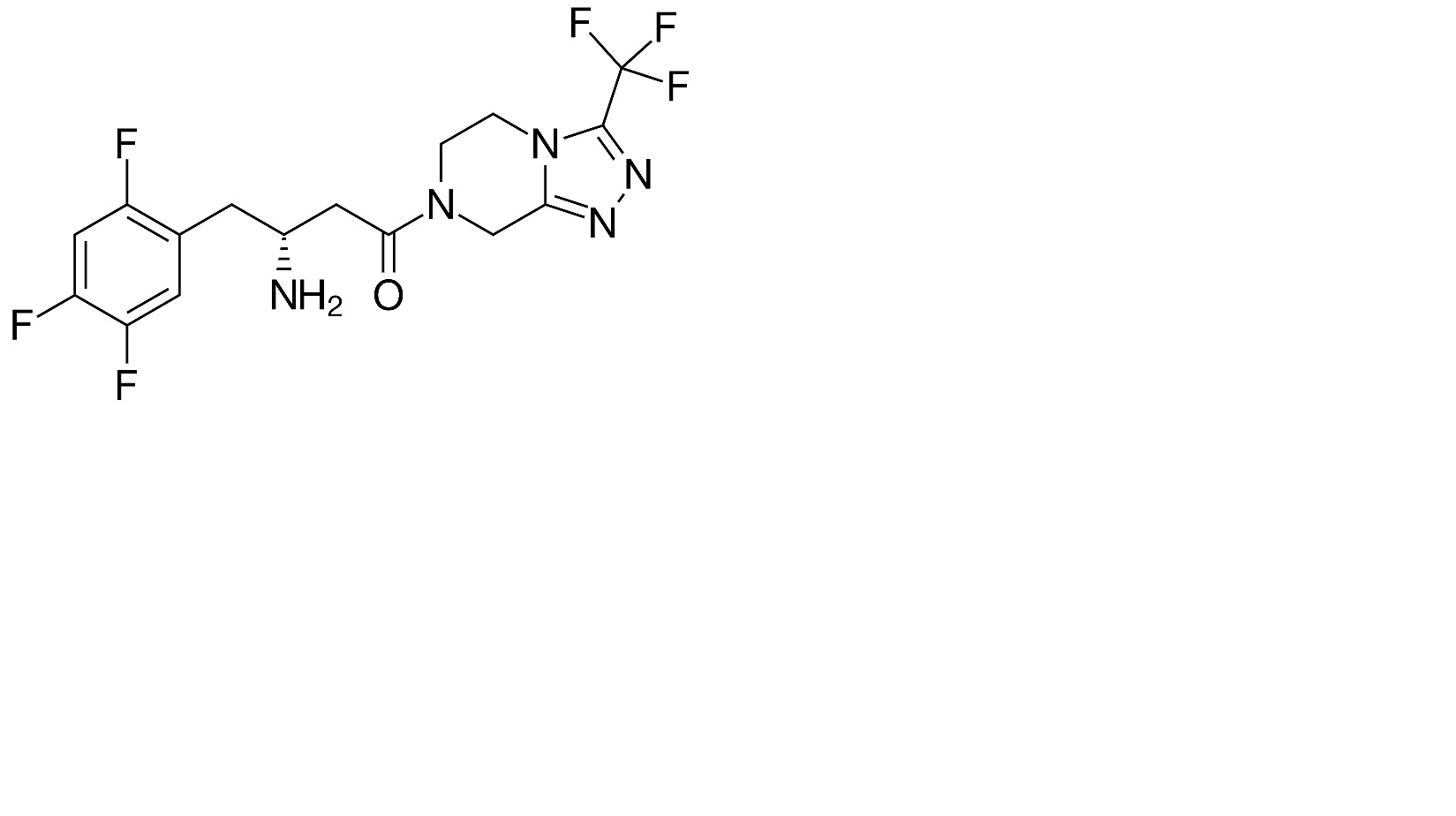
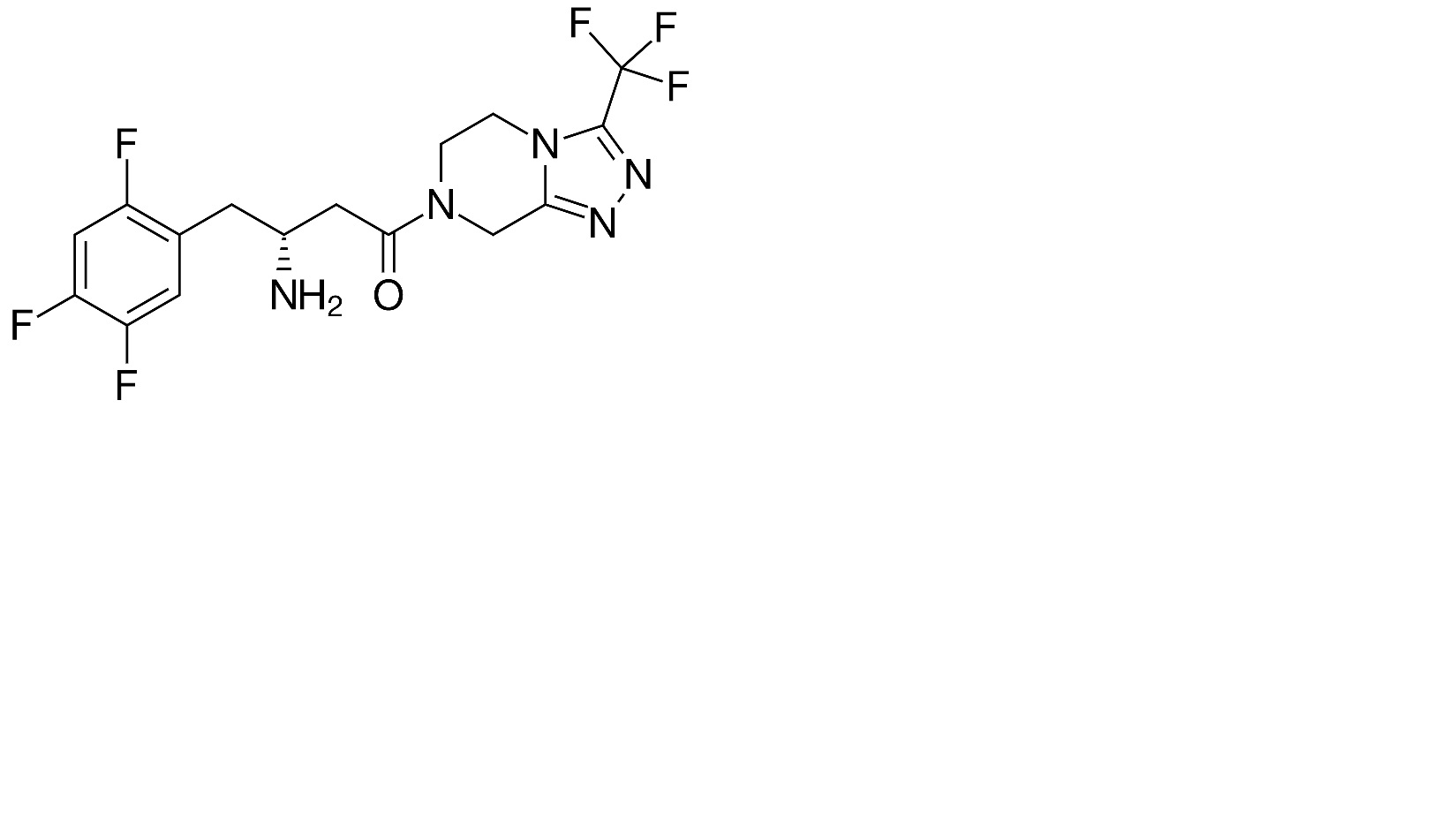
   Estructura química  

Solución Oral
La estabilidad de las preparaciones farmacéuticas   Solución Oral   La estabilidad de las preparaciones farmacéuticas : Sitagliptine phosphate     
Envase Origine Excipiente Temperatura Conservación Duración de la estabilidad Bibliografía
Botella de plástico Polvo 1 g
® = ?
Sorbitol 21,9 mL
Manitol 2,2 g
Sabor a fresa 625 mg
Agua purificada >> 100 mL
22-28°C No precisada
40 Día
4679
Botella de plástico Polvo 1 g
® = ?
Sorbitol 21,9 mL
Manitol 2,2 g
Sabor a fresa 625 mg
Agua purificada >> 100 mL
40°C No precisada
40 Día
4679

  Mentions Légales