Viimeisin päivitys :
27/01/2026
Glukoosia alentavat lääkkeet   Sitagliptine phosphate  
Oraaliliuos
Vakaus lääkevalmisteen Stabilius seoksissa Tekijät, jotka vaikuttavat stabiliuteen Yhteensopivuus Viitteet pdf
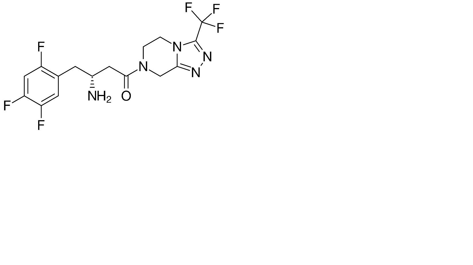
   Kemiallinen rakenne  

Oraaliliuos
Vakaus lääkevalmisteen   Oraaliliuos   Vakaus lääkevalmisteen : Sitagliptine phosphate     
Astia Origine Apuaine Lämpötila Säilytys Vakauden kesto Viitteet
Muovipullo Jauhe 1 g
® = ?
Sorbitoli 21,9 mL
Mannitoli 2,2 g
Mansikka-aromi 625 mg
Puhdistettu vesi >> 100 mL
22-28°C Ei määritetty
40 Päivä
4679
Muovipullo Jauhe 1 g
® = ?
Sorbitoli 21,9 mL
Mannitoli 2,2 g
Mansikka-aromi 625 mg
Puhdistettu vesi >> 100 mL
40°C Ei määritetty
40 Päivä
4679

  Mentions Légales