Last update :
27/01/2026
Glucose-lowering   Sitagliptine phosphate  
Oral solution
Stability of pharmaceutical preparations Stability of mixtures Factors which affect stability Compatibility References pdf
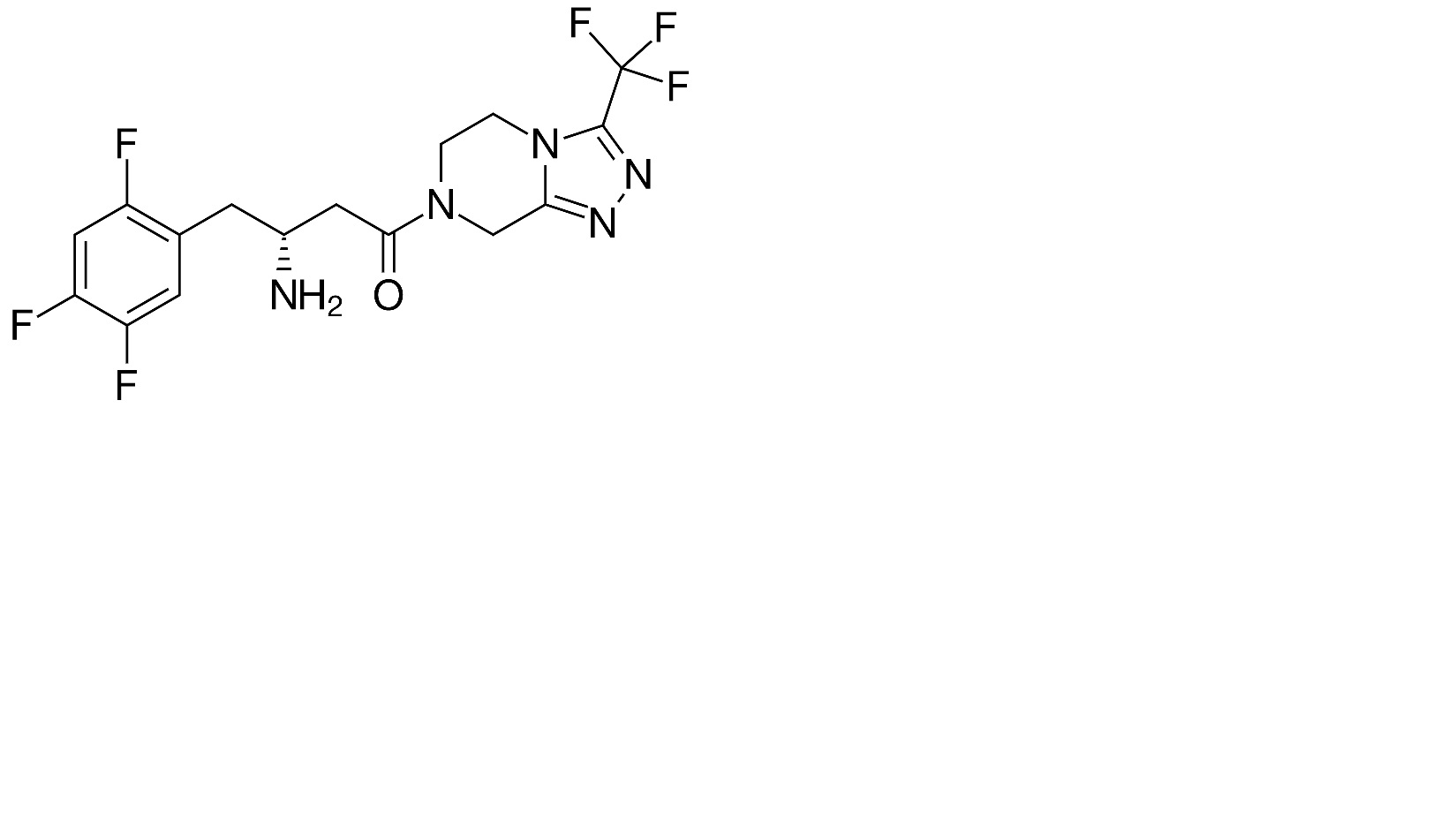
   Chemical structure  

Oral solution
Stability of pharmaceutical preparations   Oral solution   Stability of pharmaceutical preparations : Sitagliptine phosphate     
Container Origine excipient Temperature Storage Duration of stability References
plastic bottle powder 1 g
® = ?
Sorbitol 21,9 mL
mannitol 2,2 g
strawberry flavor 625 mg
Purified water >> 100 mL
22-28°C Not specified
40 Day
4679
plastic bottle powder 1 g
® = ?
Sorbitol 21,9 mL
mannitol 2,2 g
strawberry flavor 625 mg
Purified water >> 100 mL
40°C Not specified
40 Day
4679

  Mentions Légales