Seneste opdatering :
18/03/2026
Glukose-nedsættende   Sitagliptine phosphate  
Oral opløsning
Stabilitet af farmaceutiske tilberedninger Stabilitet i blandinger Faktorer der påvirker stabiliteten Kompatibilitet Bibliografi pdf
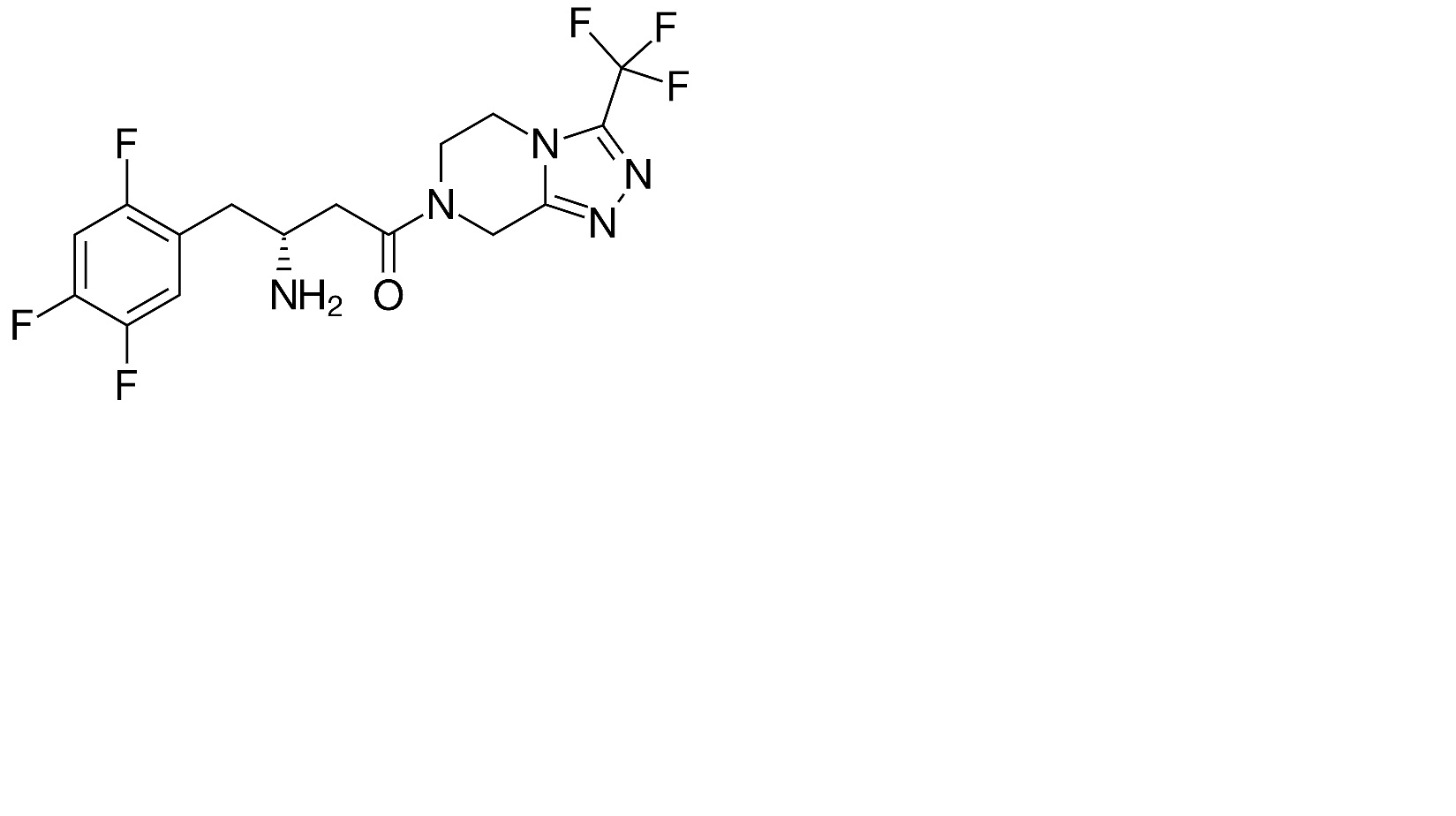
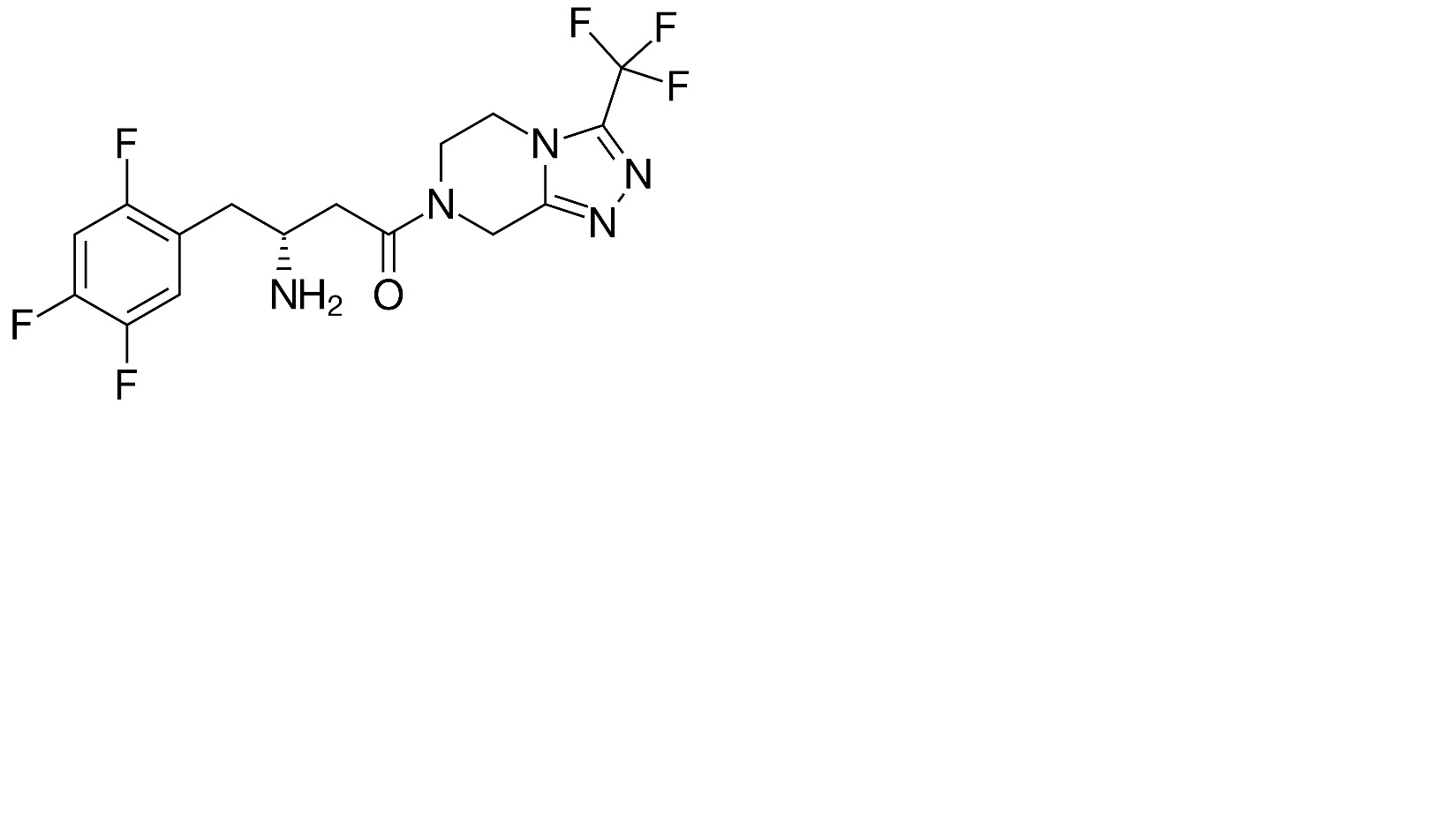
   Kemisk struktur  

Oral opløsning
Stabilitet af farmaceutiske tilberedninger   Oral opløsning   Stabilitet af farmaceutiske tilberedninger : Sitagliptine phosphate     
Beholder Origine Hjælpestof Temperatur Konservering Varighed af stabilitet Bibliografi
Plastflaske Pulver 1 g
® = ?
Sorbitol 21,9 mL
Mannitol 2,2 g
Jordbæraroma 625 mg
Renset vand >> 100 mL
22-28°C Ikke nærmere angivet
40 Dag
4679
Plastflaske Pulver 1 g
® = ?
Sorbitol 21,9 mL
Mannitol 2,2 g
Jordbæraroma 625 mg
Renset vand >> 100 mL
40°C Ikke nærmere angivet
40 Dag
4679

  Mentions Légales