最新更新 :
18/03/2026
降血糖药   Sitagliptine phosphate  
口服剂
制剂的稳定性 混合物稳定性 影响稳定性的因素 兼容性 引用文献 PDF
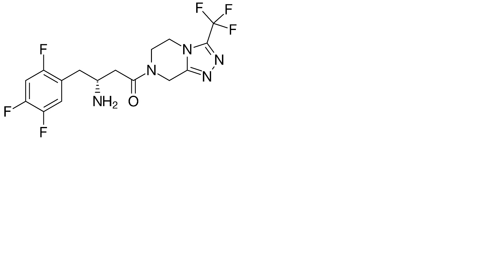
   化学式  

口服剂
制剂的稳定性   口服剂   制剂的稳定性 : Sitagliptine phosphate     
容器 Origine 添加剂 温度 保存 穩定持續時間 引用文献
塑料瓶 粉剂 1 g
® = ?
山梨糖醇 21,9 mL
甘露醇 2,2 g
草莓香料 625 mg
净化水 >> 100 mL
22-28°C 无特殊要求
40 白天
4679
塑料瓶 粉剂 1 g
® = ?
山梨糖醇 21,9 mL
甘露醇 2,2 g
草莓香料 625 mg
净化水 >> 100 mL
40°C 无特殊要求
40 白天
4679

  Mentions Légales