Ultimo aggiornamento :
27/01/2026
Ipoglicemizzante   Sitagliptine phosphate  
Soluzione orale
Stabilità dei preparati farmaceutici Stabilità in miscela Fattori che influenzano la stabilità Compatibilità Bibliografia pdf
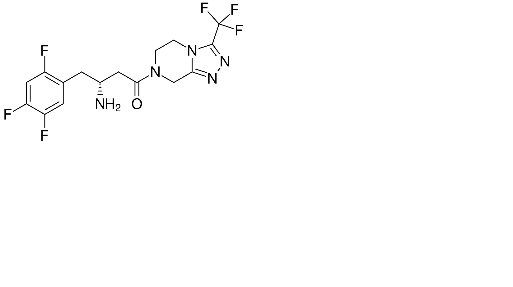
   Struttura chimica  

Soluzione orale
Stabilità dei preparati farmaceutici   Soluzione orale   Stabilità dei preparati farmaceutici : Sitagliptine phosphate     
contenitore Origine eccipiente Temperatura Conservazione Durata della stabilità Bibliografia
bottiglia di plastica polvere 1 g
® = ?
sorbitolo 21,9 mL
Mannit 2,2 g
sapore di fragola 625 mg
Acqua depurata >> 100 mL
22-28°C Non precisata
40 Giorno
4679
bottiglia di plastica polvere 1 g
® = ?
sorbitolo 21,9 mL
Mannit 2,2 g
sapore di fragola 625 mg
Acqua depurata >> 100 mL
40°C Non precisata
40 Giorno
4679

  Mentions Légales