Dernière mise à jour :
18/03/2026
Hypoglycémiant   Sitagliptine phosphate  
Solution buvable
Stabilité des préparations Stabilité en mélange Facteur influençant la stabilité Compatibilités Bibliographie pdf
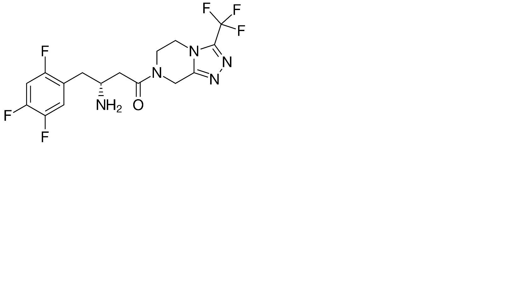
   Structure chimique  

Solution buvable
Stabilité des préparations   Solution buvable   Stabilité des préparations : Sitagliptine phosphate     
Contenant Origine Excipient Température Conservation Durée de stabilité Bibliographie
Flacon plastique Poudre 1 g
® = ?
Sorbitol 21,9 mL
Mannitol 2,2 g
Arôme fraise 625 mg
Eau purifiée >> 100 mL
22-28°C Non précisée
40 Jour
4679
Flacon plastique Poudre 1 g
® = ?
Sorbitol 21,9 mL
Mannitol 2,2 g
Arôme fraise 625 mg
Eau purifiée >> 100 mL
40°C Non précisée
40 Jour
4679

  Mentions Légales