Letztes “update” :
27/01/2026
Zu Hypoglykämie führend   Sitagliptine phosphate  
Lösung zum Einnehmen
Stabilität von pharmazeutischen Präparaten Gemengestabilität Stabilitätbeeinflussende Faktoren Kompatibilitäten Literaturverzeichnis pdf
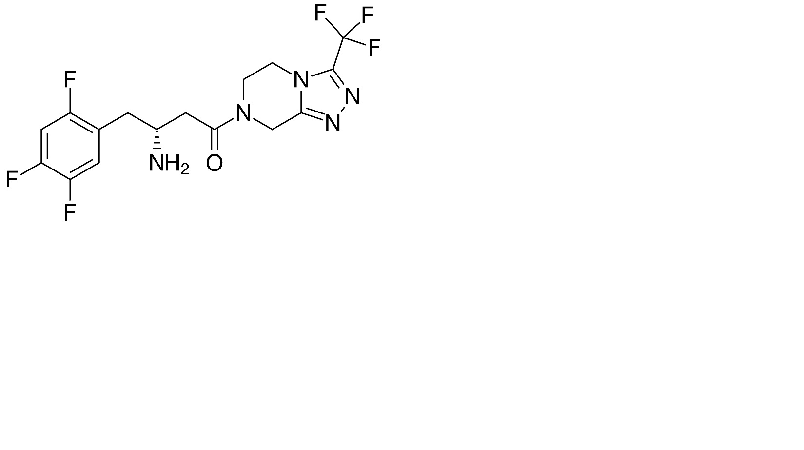
   Chemische Struktur  

Lösung zum Einnehmen
Stabilität von pharmazeutischen Präparaten   Lösung zum Einnehmen   Stabilität von pharmazeutischen Präparaten : Sitagliptine phosphate     
Behälter Origine Hilfsstoff Temperatur Konservierung Dauer der Stabilität Literaturverzeichnis
Plastikflasche Pulver 1 g
® = ?
Sorbitol 21,9 mL
mannitol 2,2 g
Erdbeergeschmack 625 mg
Gereinigtes Wasser >> 100 mL
22-28°C Nicht genau angegeben
40 Tag
4679
Plastikflasche Pulver 1 g
® = ?
Sorbitol 21,9 mL
mannitol 2,2 g
Erdbeergeschmack 625 mg
Gereinigtes Wasser >> 100 mL
40°C Nicht genau angegeben
40 Tag
4679

  Mentions Légales