Останнє оновлення :
27/04/2026
Цукрознижувальний   Sitagliptine phosphate  
Розчин для перорального застосування
Стабільність фармацевтичних препаратів Стійкість сумішей Фактори, що впливають на стабільність Сумісність Список літератури pdf
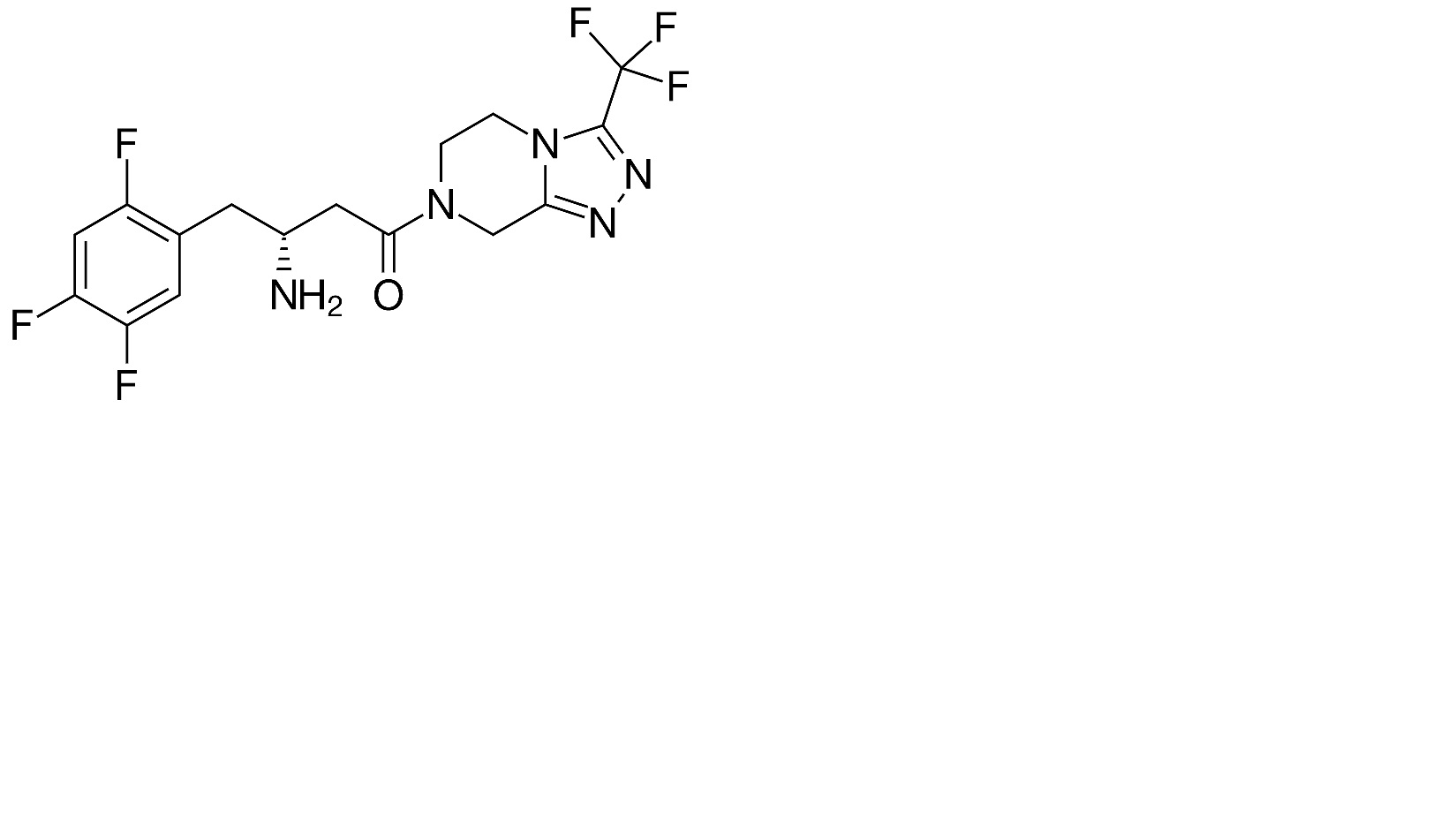
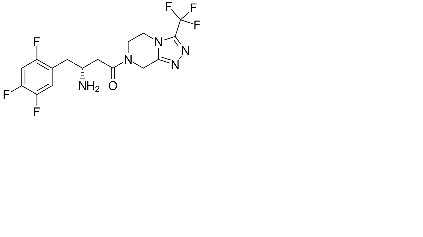
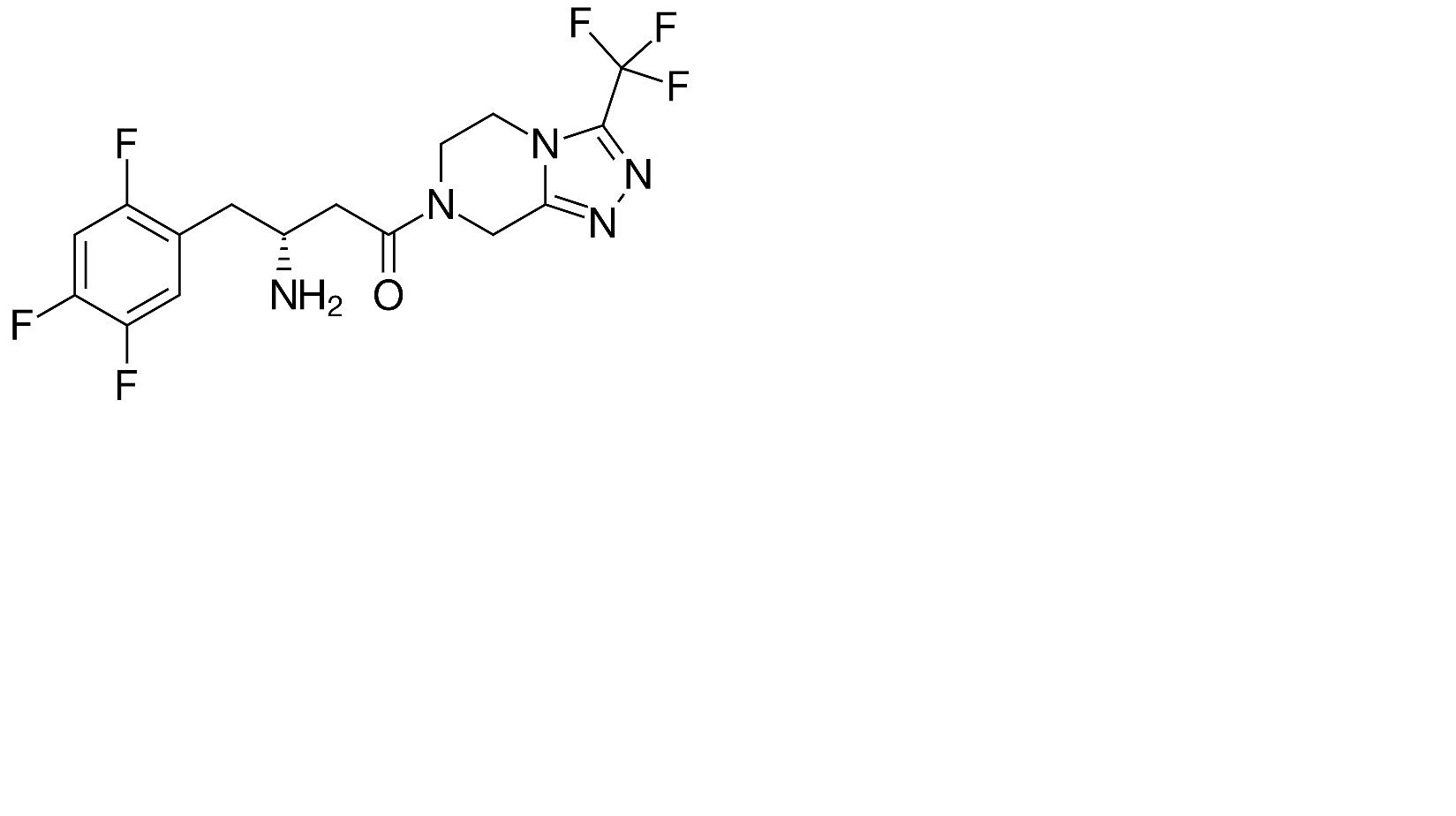
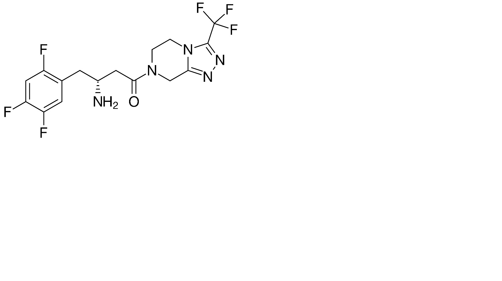
   Хімічна структура  

Розчин для перорального застосування
Сумісність   Розчин для перорального застосування   Сумісність : Sitagliptine phosphate              
7 / 5 000 Résultats de traduction Немає даних

  Mentions Légales