Τελευταία ενημέρωση :
27/04/2026
Υπογλυκοζαιμικό   Sitagliptine phosphate  
Πόσιμο διάλυμα
Σταθερότητα και συμβατότητα των φαρμάκων Σταθερότητα σε μίγματα Παράγοντας που επηρεάζει τη σταθερότητα Συμβατότητες Βιβλιογραφία pdf
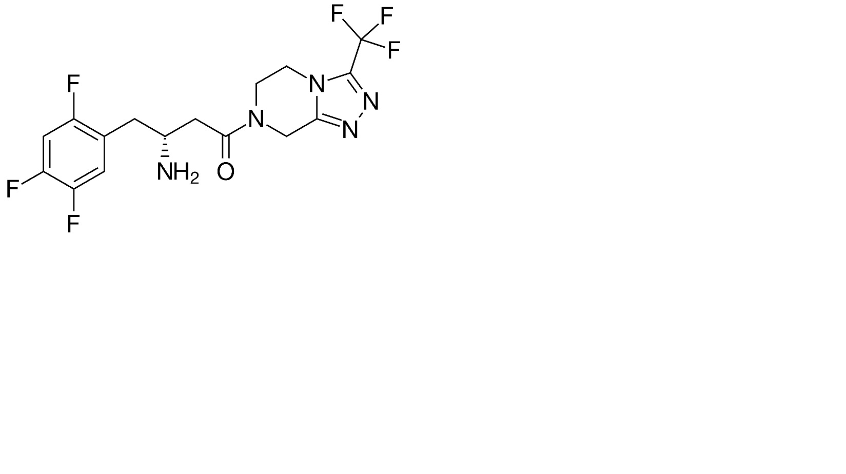
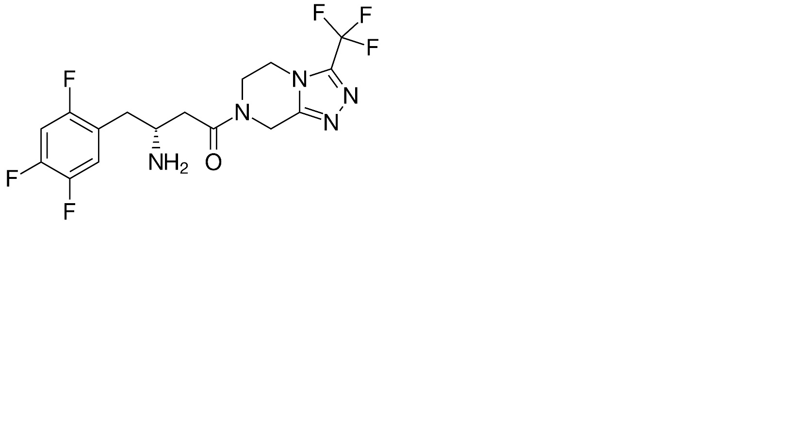
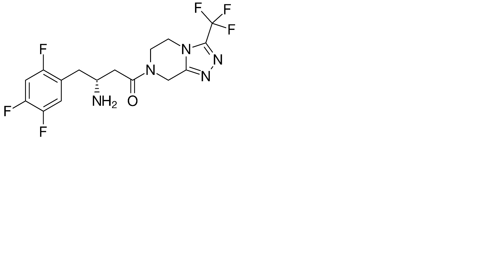
   χημική δομή  

Πόσιμο διάλυμα
Συμβατότητες    Πόσιμο διάλυμα   Συμβατότητες : Sitagliptine phosphate              
Δεν υπάρχουν πληροφορίες

  Mentions Légales