Pēdējā atjaunošana :
27/04/2026
Hipoglikēmijas izraisošs līdzeklis   Sitagliptine phosphate  
Orāls šķīdums
Stabilitāte farmaceitisko preparātu Maisījuma stabilitāte Stabilitāti ietekmējoši faktori Saderība Literatūras saraksts pdf
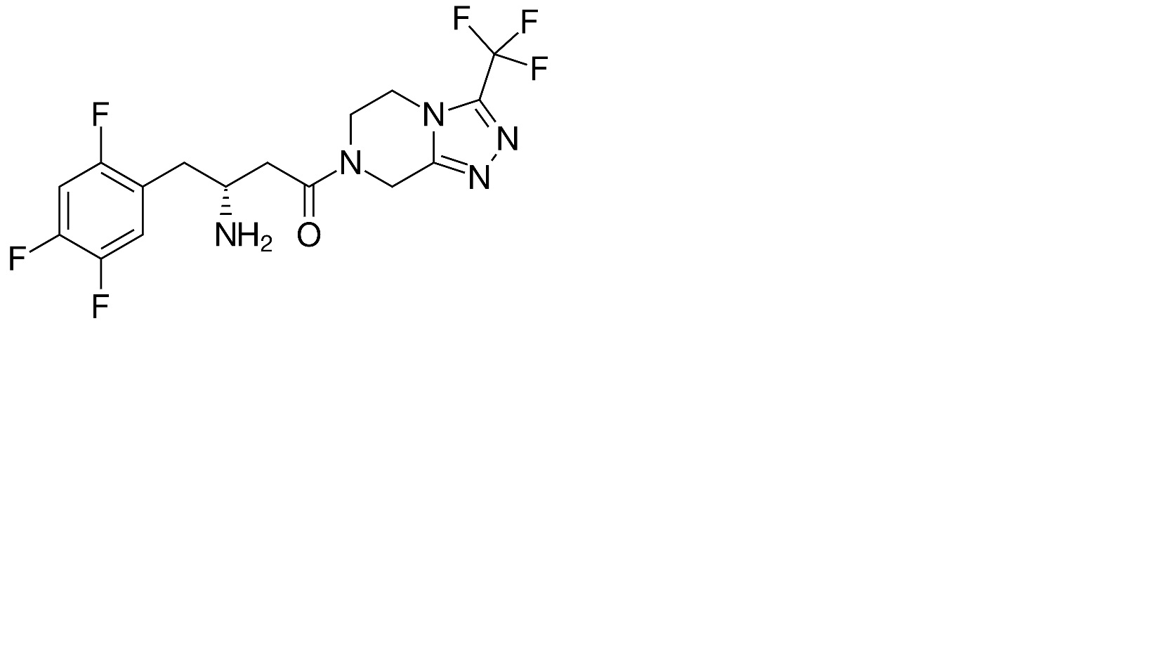
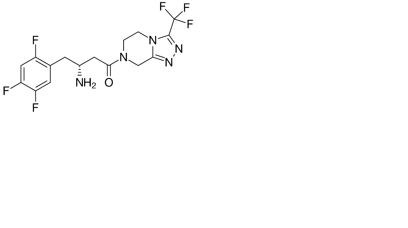
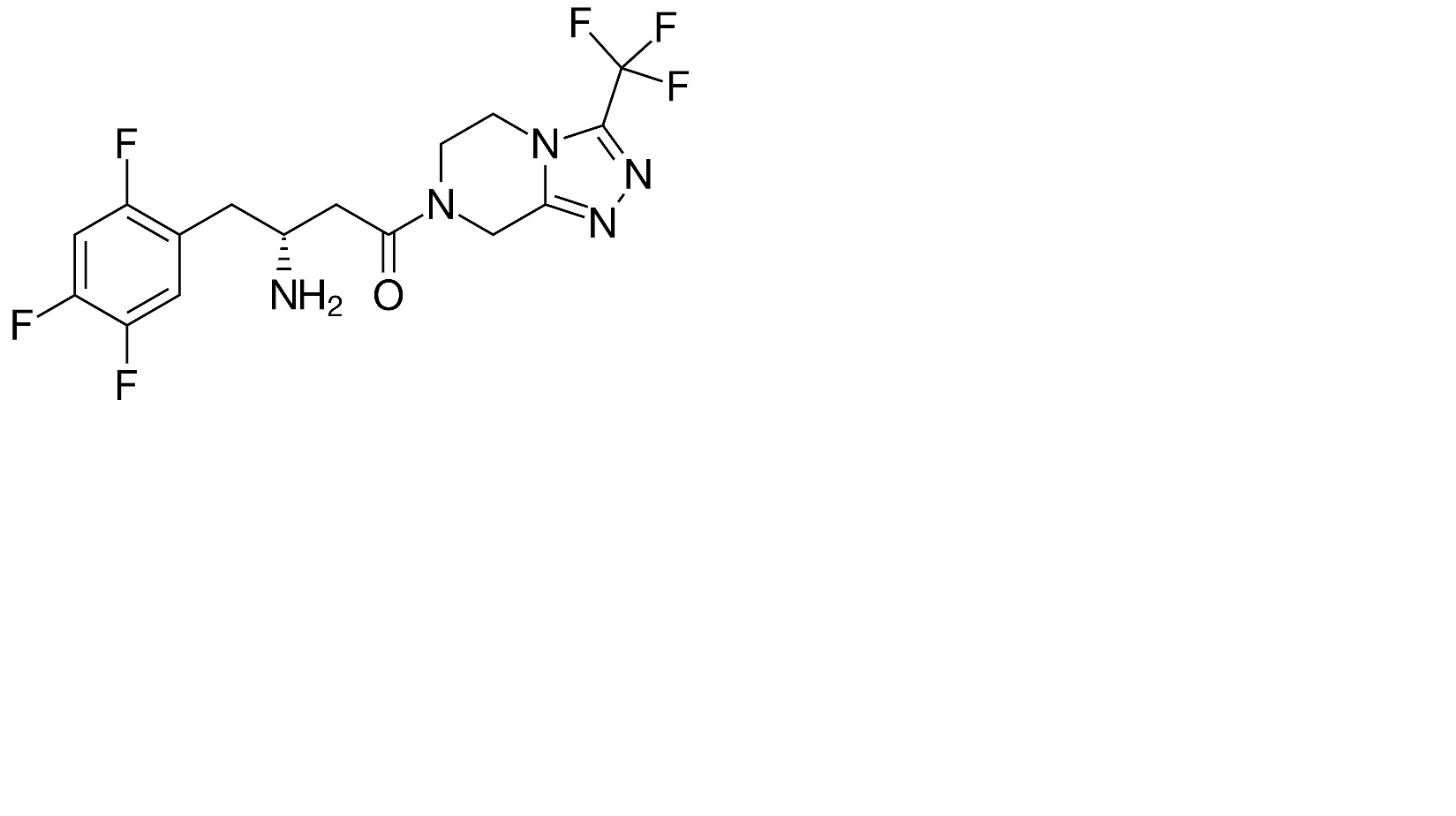
   Ķīmiskā uzbūve   

Orāls šķīdums
Saderība   Orāls šķīdums   Saderība : Sitagliptine phosphate              
Nav datu

  Mentions Légales