Последно актуализиране :
27/04/2026
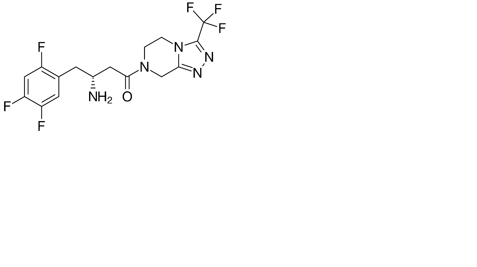
Хипогликемичен агент   Sitagliptine phosphate  
Орален разтвор
Стабилност на лекарствени препарати Стабилност на смеси Фактори, повлияващи стабилността Съвместимост Библиография Pdf
   Химична структура  

Орален разтвор
Съвместимост   Орален разтвор   Съвместимост : Sitagliptine phosphate              
Няма данни

  Mentions Légales