Seneste opdatering :
27/04/2026
Glukose-nedsættende   Sitagliptine phosphate  
Oral opløsning
Stabilitet af farmaceutiske tilberedninger Stabilitet i blandinger Faktorer der påvirker stabiliteten Kompatibilitet Bibliografi pdf
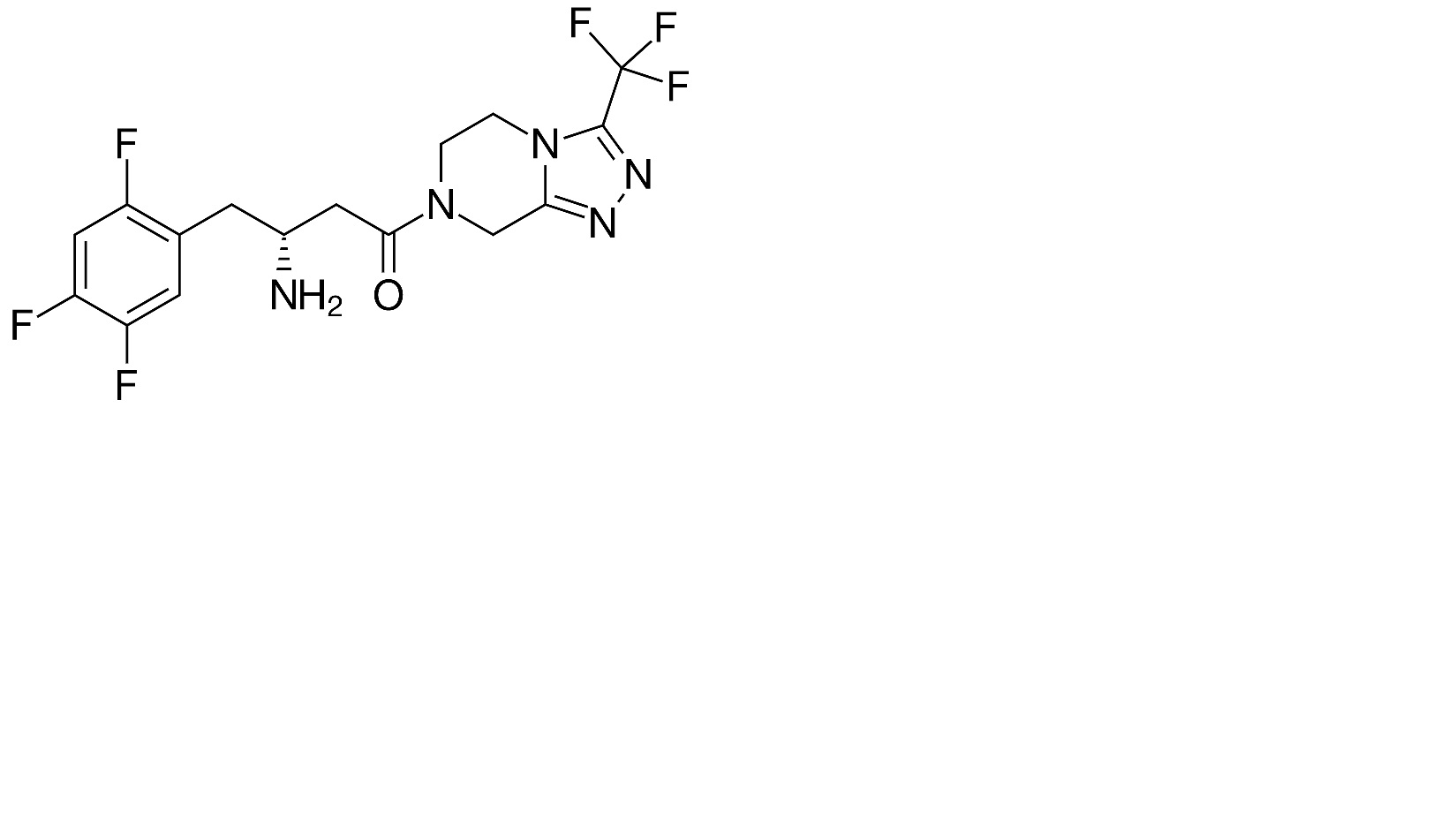
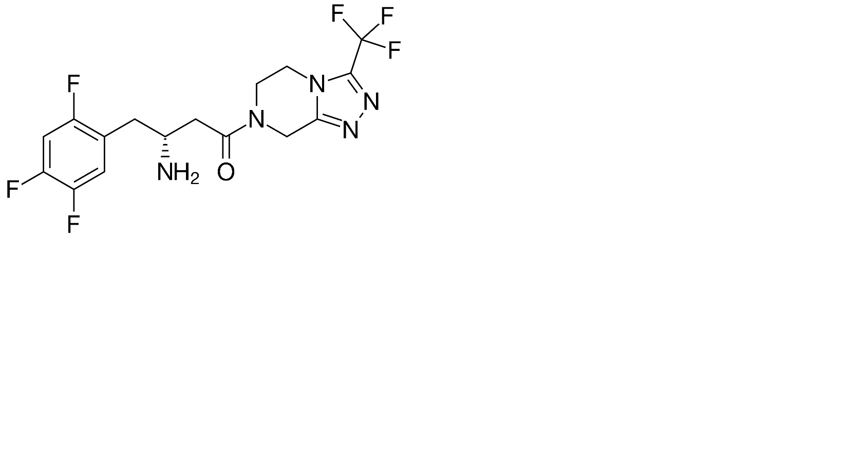
   Kemisk struktur  

Oral opløsning
Kompatibilitet   Oral opløsning   Kompatibilitet : Sitagliptine phosphate              
Ingen data

  Mentions Légales