Ostatnia aktualizacja :
27/04/2026
Lek obniżający poziom cukru   Sitagliptine phosphate  
Roztwór doustny
Stabilność preparatów farmaceutycznych Trwałość w mieszaninie Czynnik wpływający na trwałość Zgodność Bibliografia pdf
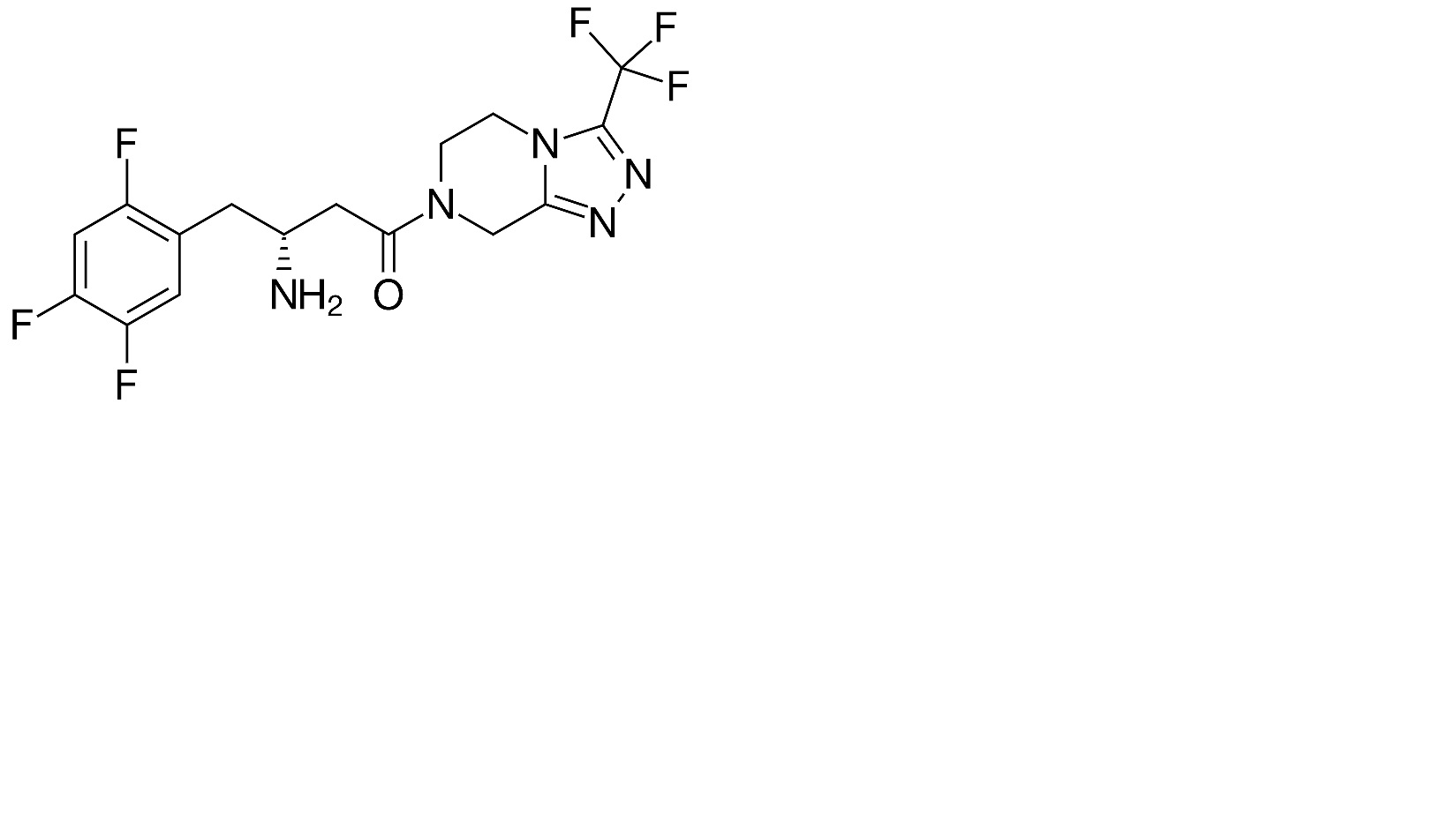
   Struktura chemiczna  

Roztwór doustny
Zgodność   Roztwór doustny   Zgodność : Sitagliptine phosphate              
Brak danych

  Mentions Légales