Senaste uppdateringen :
27/04/2026
Glukosnedsättande   Sitagliptine phosphate  
Oral lösning
Stabilitet av läkemedel Stabilitet i blandningar Faktorer som påverkar stabiliteten Kompatibilitet Hänvisningar pdf
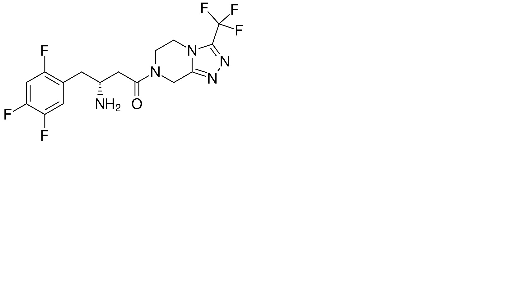
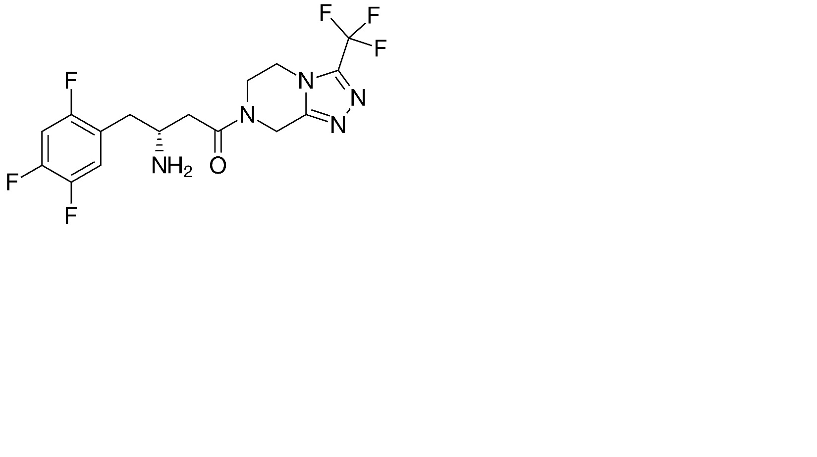
   Molekylstruktur  

Oral lösning
Kompatibilitet   Oral lösning   Kompatibilitet : Sitagliptine phosphate              
Ingen uppgift

  Mentions Légales