Last update :
27/04/2026
Glucose-lowering   Sitagliptine phosphate  
Oral solution
Stability of pharmaceutical preparations Stability of mixtures Factors which affect stability Compatibility References pdf
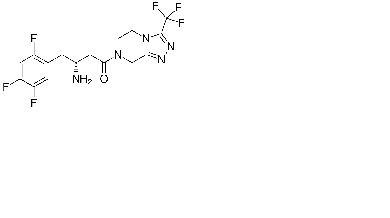
   Chemical structure  

Oral solution
Compatibility   Oral solution   Compatibility : Sitagliptine phosphate              
No data

  Mentions Légales