Poslední aktualizace :
27/04/2026
Gliukozės kiekį mažinantis vaistas   Sitagliptine phosphate  
Geriamas tirpalas
Stabilumas farmacinių preparatų Mišinių stabilumas Stabilumą lemiantys veiksniai Suderinamumas Bibliografija pdf
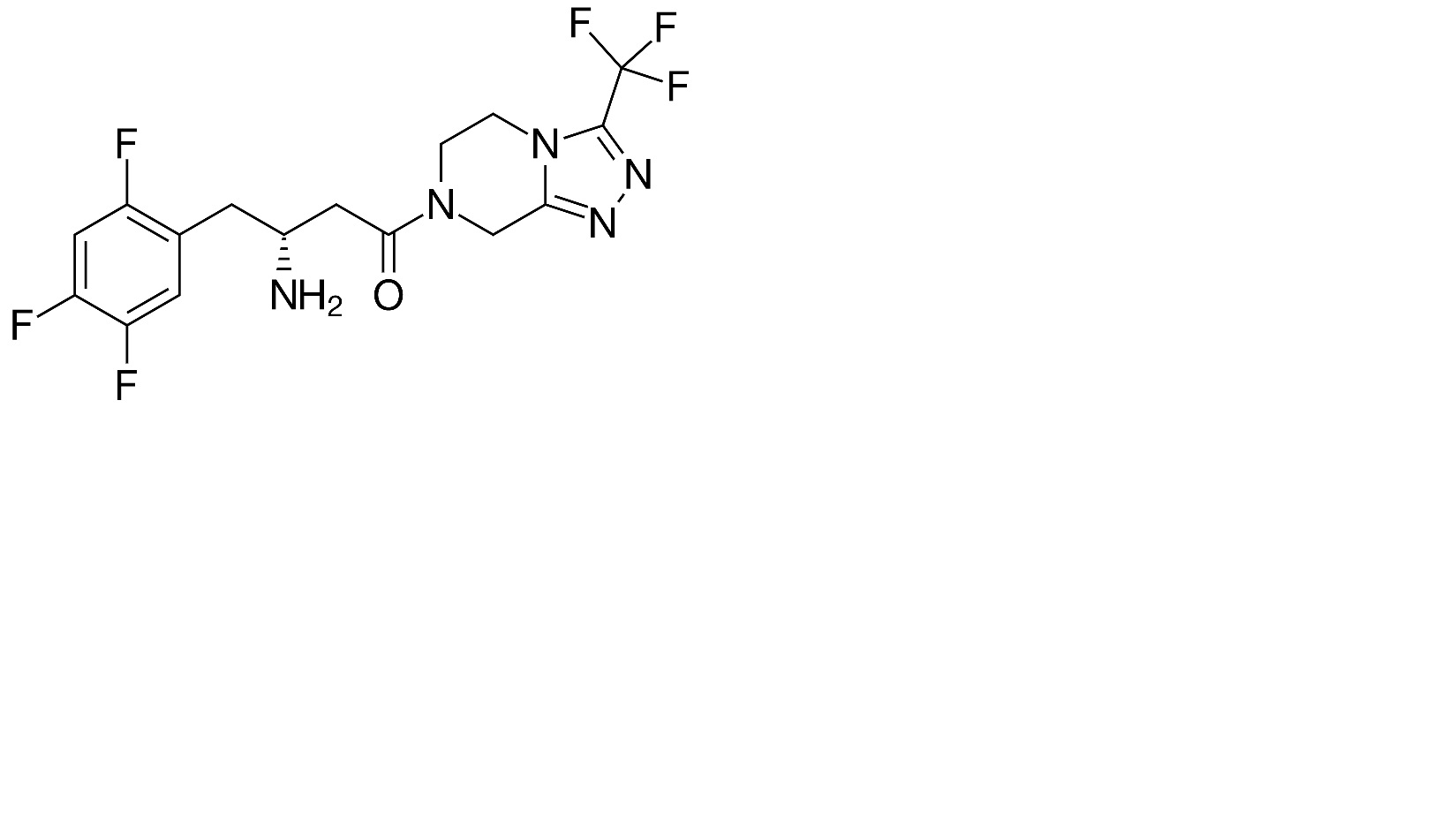
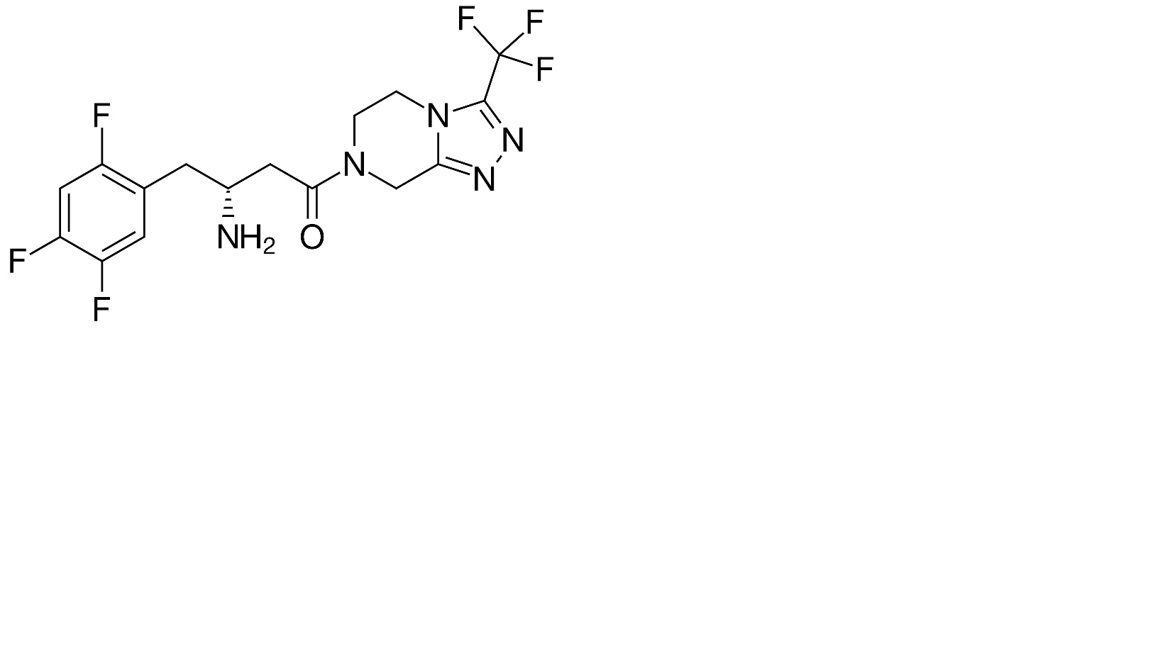
   Cheminė sandara  

Geriamas tirpalas
Suderinamumas   Geriamas tirpalas   Suderinamumas : Sitagliptine phosphate              
Nėra duomenų

  Mentions Légales