Ultimo aggiornamento :
27/04/2026
Ipoglicemizzante   Sitagliptine phosphate  
Soluzione orale
Stabilità dei preparati farmaceutici Stabilità in miscela Fattori che influenzano la stabilità Compatibilità Bibliografia pdf
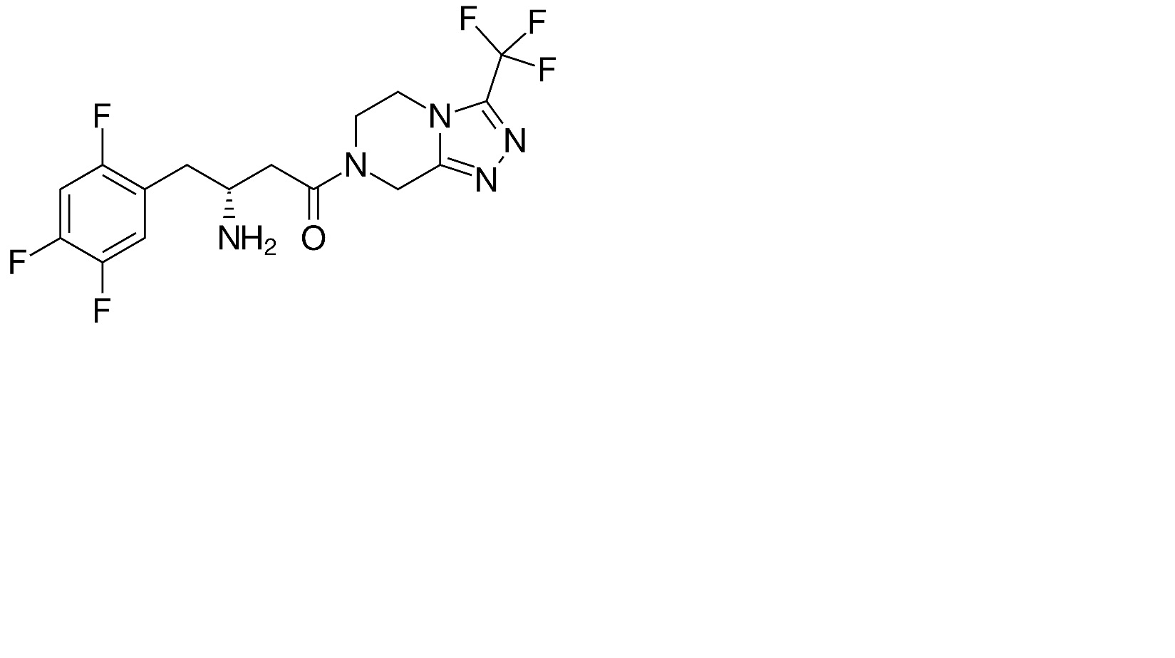
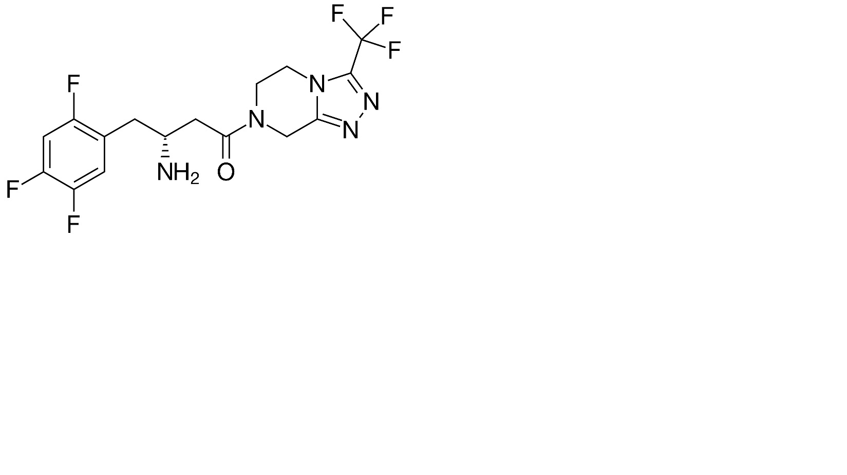
   Struttura chimica  

Soluzione orale
Compatibilità   Soluzione orale   Compatibilità : Sitagliptine phosphate              
Assenza di dati

  Mentions Légales