Son güncelleme :
27/01/2026
Vazodilatör   Minoxidil  
Oral solüsyon / oral çözelti
Merhem
Farmasötik preparatlar Kararlılığı Karışımlardaki stabilitesi Stabiliteyi etkileyen faktörler Uyumluluk Kaynaklar pdf
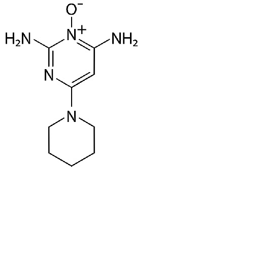
   Kimyasal yapı   

Oral solüsyon / oral çözelti

Stabiliteyi etkileyen faktörler    Oral solüsyon / oral çözelti   Stabiliteyi etkileyen faktörler : Minoxidil        
veri yok

  Mentions Légales