zadnja posodobitev :
27/01/2026
Vazodilatator   Minoxidil  
Peroralna raztopina
Mazila
Stabilnost farmacevtskih preparatov Stabilnost mešanice Faktorji, ki vplivajo na stabilnost Kompatibilnost Viri pdf
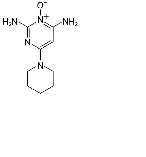
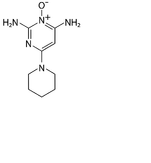
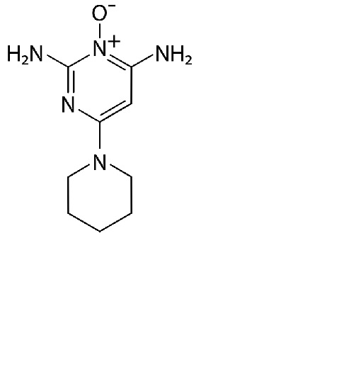
   Kemična formula  

Peroralna raztopina

Faktorji, ki vplivajo na stabilnost   Peroralna raztopina   Faktorji, ki vplivajo na stabilnost : Minoxidil        
ni podatka

  Mentions Légales