Ultimele actualizari :
27/01/2026
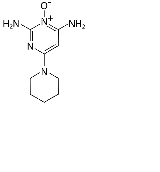
Vasodilatator   Minoxidil  
Soluţie orală
Unguente
Stabilitatea preparatelor farmaceutice Stabilitatea in amestec Factorii care influenteaza stabilitatea Compatibilitate Bibliografie pdf
   Formula chimica  

Soluţie orală

Factorii care influenteaza stabilitatea   Soluţie orală   Factorii care influenteaza stabilitatea : Minoxidil        
Absenta de date

  Mentions Légales