Letztes “update” :
27/01/2026
Vasodilatator   Minoxidil  
Lösung zum Einnehmen
Salben
Stabilität von pharmazeutischen Präparaten Gemengestabilität Stabilitätbeeinflussende Faktoren Kompatibilitäten Literaturverzeichnis pdf
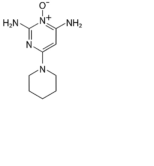
   Chemische Struktur  

Lösung zum Einnehmen

Stabilitätbeeinflussende Faktoren   Lösung zum Einnehmen   Stabilitätbeeinflussende Faktoren : Minoxidil        
Keine Daten

  Mentions Légales