Seneste opdatering :
27/01/2026
Vasodilator   Minoxidil  
Oral opløsning
Salver
Stabilitet af farmaceutiske tilberedninger Stabilitet i blandinger Faktorer der påvirker stabiliteten Kompatibilitet Bibliografi pdf
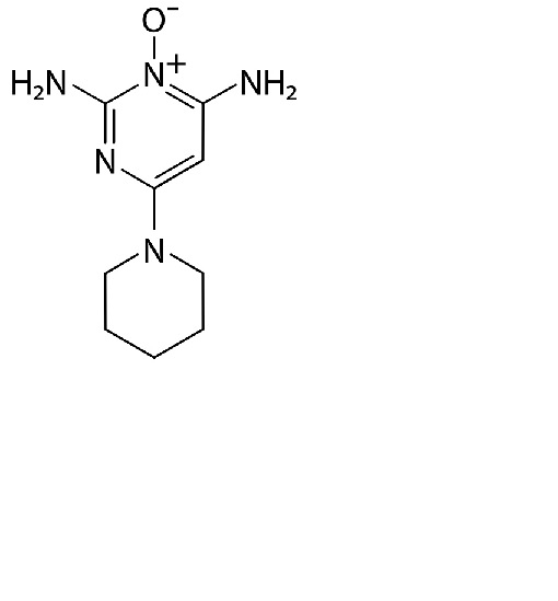
   Kemisk struktur  

Oral opløsning

Faktorer der påvirker stabiliteten   Oral opløsning   Faktorer der påvirker stabiliteten : Minoxidil        
Ingen data

  Mentions Légales