Last update :
27/01/2026
Vasodilator   Minoxidil  
Oral solution
Ointments
Stability of pharmaceutical preparations Stability of mixtures Factors which affect stability Compatibility References pdf
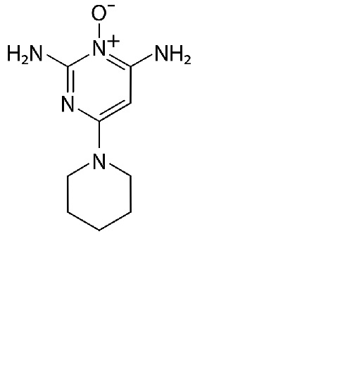
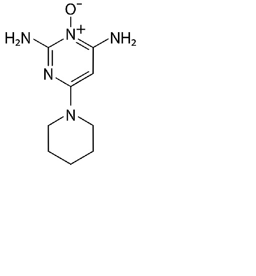
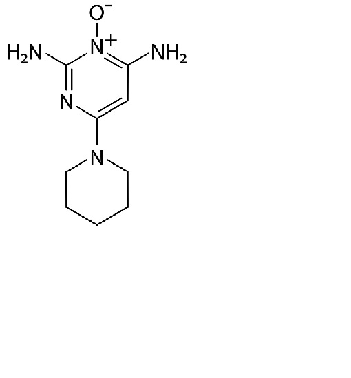
   Chemical structure  

Oral solution

Factors which affect stability   Oral solution   Factors which affect stability : Minoxidil        
No data

  Mentions Légales