viimane versioon :
27/01/2026
vasodilataator   Minoxidil  
suukaudne lahus
salv
Stabiilsust ravimpreparaadid Stabiilsust mõjutavad tegurid stabiilsust mõjutavad faktorid Sobimatus Viited pdf
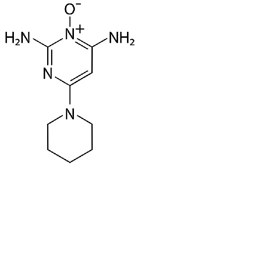
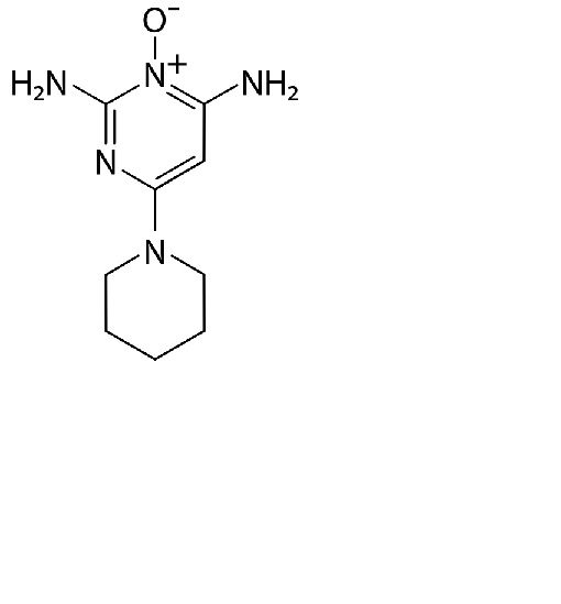
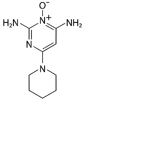
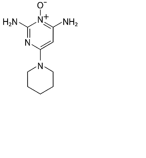
   keemiline struktuur  

suukaudne lahus

stabiilsust mõjutavad faktorid   suukaudne lahus   stabiilsust mõjutavad faktorid : Minoxidil        
andmed puuduvad

  Mentions Légales