Utolsó frissítés :
27/01/2026
Értágító   Minoxidil  
belsőleges oldat
kenőcs
Stabilitása gyógyszerészeti készítmények A keverékek stabilitása Stabilitást befolyásoló tényezők Kompatibilitás Irodalom pdf
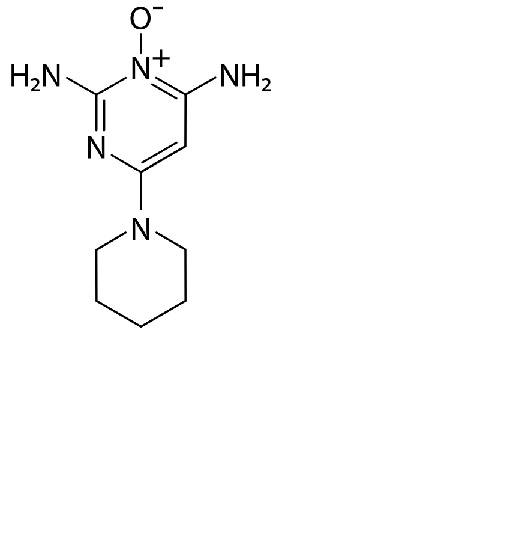
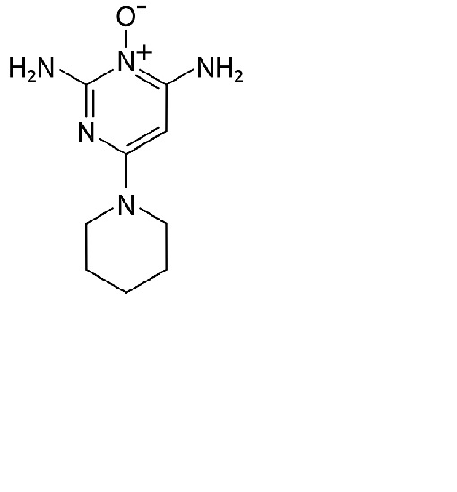
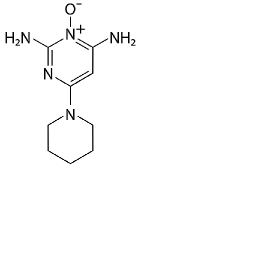
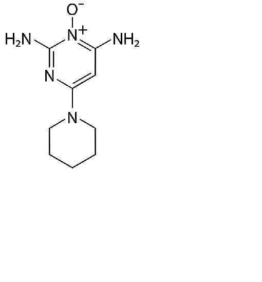
   Kémiai szerkezet   

belsőleges oldat

Stabilitást befolyásoló tényezők   belsőleges oldat   Stabilitást befolyásoló tényezők : Minoxidil        
Hiányzó adat

  Mentions Légales