Последнее обновление :
18/03/2026
Сосудорасширяющее средство   Minoxidil  
Раствор для перорального приёма
Мази
Стабильность фармацевтических препаратов Стабильность смесей Факторы, которые влияют на стабильность Совместимость Библиография pdf
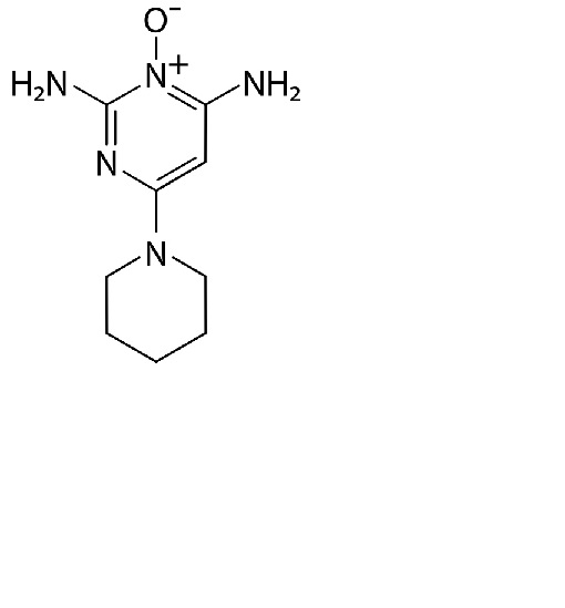
   Химическая структура  

Раствор для перорального приёма

Факторы, которые влияют на стабильность   Раствор для перорального приёма   Факторы, которые влияют на стабильность : Minoxidil        
данных нет

  Mentions Légales