Pēdējā atjaunošana :
27/01/2026
Vazodiletators   Minoxidil  
Orāls šķīdums
Ziedes
Stabilitāte farmaceitisko preparātu Maisījuma stabilitāte Stabilitāti ietekmējoši faktori Saderība Literatūras saraksts pdf
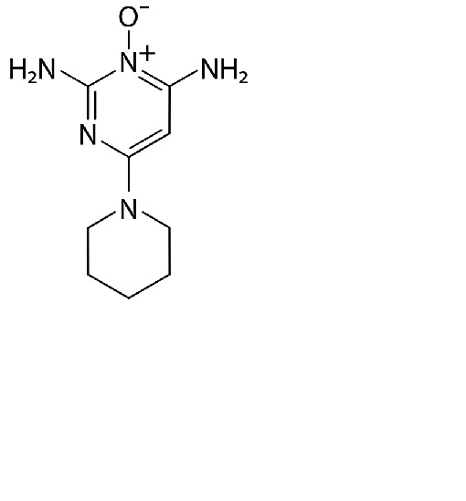
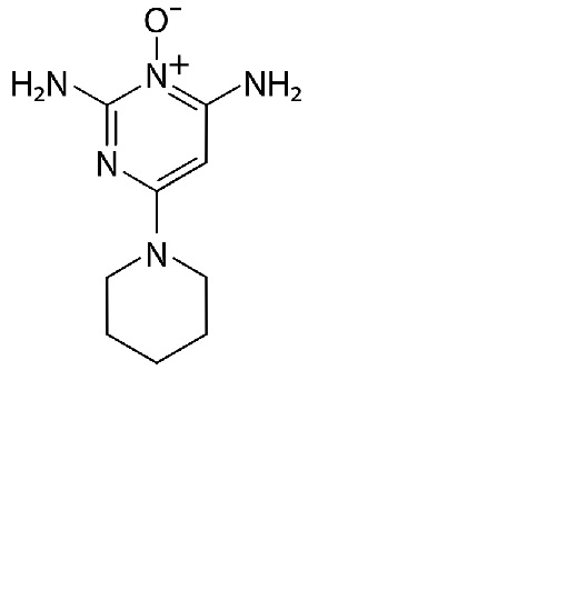
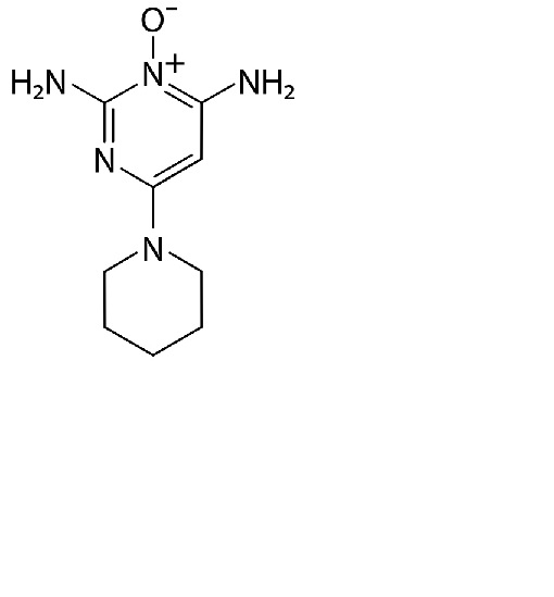
   Ķīmiskā uzbūve   

Orāls šķīdums

Stabilitāti ietekmējoši faktori   Orāls šķīdums   Stabilitāti ietekmējoši faktori : Minoxidil        
Nav datu

  Mentions Légales